
-
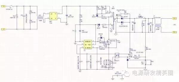
- 变频器开关电源的检修检修方法
- 摘要:变频器的开关电源电路完全可以简化为上图电路模型,电路中的关键要素都包含在内了。而任何复杂的开关电源,剔除枝蔓后,也会剩下上图这样的主干。其实在检修中,要具备对复杂电路的“化简”的能力,要在看似杂乱无章 ...
-
- 漫漫电源路一个电源界老兵的自述
- 摘要:一个电源界老兵的自述。真的是老兵,重点在“兵”,一直做工程师,说好听点是专注技术。大家如此热情,不由得我心潮澎湃,正好昨天看到一首曹操的《短歌行》,略有所感,聊抒胸臆。诗云:对酒当歌,人生几何?譬如朝露 ...
-
- 【led驱动专场】一篇文章彻底了解LED驱动电源知识
- 摘要:为初入该行的业者提供一些LED驱动电源的相关知识LED驱动电源是把电源供应转换为特定的电压电流以驱动LED发光的电压转换器,通常情况下:LED驱动电源的输入包括高压工频交流(即市电)、低压直流、高压直流、低压高频 ...
-
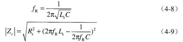
- 电容频率的特性
- 摘要:当频率很高时,电容不再被当做集总参数看待,寄生参数的影响不可忽略。寄生参数包括Rs,等效串联电阻(ESR)和Ls等效串联电感(ESL)。电容器实际等效电路如图1所示,其中C为静电容,1Rp为泄漏电阻,也称为绝缘电阻 ...
-
- 通电瞬间浪涌电流应该如何取值
- 摘要:在反激电源的设计过程当中,开机瞬间的浪涌电流如何确定一直是困扰新手的问题。虽然能在网络上查到关于开机瞬间浪涌问题的相关资料,但很少有资料正面解答了开机瞬间浪涌电流取值的问题。 在本篇文章当中,小编就将 ...
-
- 深入分析开关电源的待机功耗
- 摘要:现在做电源,除了效率以外,空载或者待机功耗也变得越来越重要了。这不仅是因为各种各样的能效标准的执行,也确实很符合实际应用的需求,因为大部分的用电设备都长期工作在待机状态。以离线式的AC/DC电源为例,不同 ...
-
- 【百科】IGBT
- 摘要:电的发现是人类历史的革命,由它产生的动能每天都在源源不断的释放,人对电的需求不亚于人类世界的氧气,如果没有电,人类的文明还会在黑暗中探索。然而在电力电子里面,最重要的一个元件就是IGBT。没有IGBT就不会有 ...
-
- 晶闸管的工作原理与应用
- 摘要:1 晶闸管(SCR)晶体闸流管简称晶闸管,也称为可控硅整流元件(SCR),是由三个PN结构成的一种大功率半导体器件。在性能上,晶闸管不仅具有单向导电性,而且还具有比硅整流元件更为可贵的可控性,它只有导通和关断两种状态。 ...
-
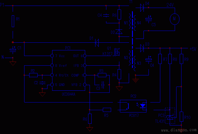
- 反激开关电源实战经验实例直播
- 摘要:下面所说只是个人经验,万事没有绝对只有万一。大纲:A、能效经验。B、参数计算。C、设计调试经验。D、画板经验。先上原理图.A、能效。6级能效明年初就要出来了,面对迷你高能效,对工程师来说又是很大的压力。调试 ...
-
- 0欧电阻的作用详解
- 摘要:本文主要对0欧电阻的作用进行详细解析,感兴趣的朋友可以看看。0欧电阻相当于很窄的电流通路,能够有效地限制环路电流,使噪声得到抑制。电阻在所有频带上都有衰减作用(0欧电阻也有阻抗),这点比磁珠强。模拟地和数 ...
-
- 普通项目经理和资深项目经理的7大差距
- 摘要:普通管理者的对下属的态度情商是管理者重要的特质,高情商在管理者中主要表现为情绪稳定。对于初级管理者而言,他们的情绪很容易被员工的行为左右,并不能及时的调整,员工一旦出错或者是工作表现不理想,初级管理者 ...
-
- 探讨开关电源中的RCD吸收设计
- 摘要:关于开关电源中RCD吸收电路的设计,对于初学开关电源的新手来说,可能是比较棘手的一件事,所以本文就来碎碎念一下,希望对初学者能有一点帮助。MOS电压尖峰的吸收电路有很多种,比如RCD,RDTVS,RCD+TVS等,但常用 ...
-
- 整流管尖峰吸收电路
- 摘要:Flyback的次级侧整流二极管的RC尖峰吸收问题,觉得大家在处理此类尖峰问题上仍过于传统,其实此处用RCD吸收会比用RC 吸收效果更好,用RCD吸收,其整流管尖峰电压可以压得更低(合理的参数搭配,可以完全吸收,几乎看 ...
-
- 什么恒压源模块电源无法实现并联均流
- 摘要:大功率的模块电源通过并联技术实现均流,是目前很多工业及汽车研发领域都会涉及到的日常基础工作,也是很多工程师最开始接触电路系统设计的基础课题。然而,在恒压源的前提条件下,有时多个电源模块在并联时会产生无 ...
-
- 过压保护压敏电阻器的使用要领你都了解吗?
- 摘要:过压保护压敏电阻器是很多工程师都非常熟悉的一种电子元件就,尤其是在LED开关电源或大功率的电源设备中,更是非常常见。而这种压敏电阻器在运行过程中为电路系统所提供的瞬时过压保护,也是非常重要的。不过,对于 ...

扫码打开小程序

扫码安装APP