欢迎您,请 登录 或 注册

当前位置:首页 医疗器械维修 基础 电子 查看内容

晶闸管的工作原理与应用

2017-7-14 12:34 阅读: 157 评论: 0 编辑: ygzx1
[导读]1 晶闸管(SCR)晶体闸流管简称晶闸管,也称为可控硅整流元件(SCR),是由三个PN结构成的一种大功率半导体器件。在性能上,晶闸管不仅具有单向导电性,而且还具有比硅整流元件更为可贵的可控性,它只有导通和关断两种状态。 ...
1 晶闸管(SCR)
晶体闸流管简称晶闸管,也称为可控硅整流元件(SCR),是由三个PN结构成的一种大功率半导体器件。在性能上,晶闸管不仅具有单向导电性,而且还具有比硅整流元件更为可贵的可控性,它只有导通和关断两种状态。
晶闸管的优点很多,例如:以小功率控制大功率,功率放大倍数高达几十万倍;反应极快,在微秒级内开通、关断;无触点运行,无火花、无噪声;效率高,成本低等。因此,特别是在大功率UPS供电系统中,晶闸管在整流电路、静态旁路开关、无触点输出开关等电路中得到广泛的应用。
晶闸管的弱点:静态及动态的过载能力较差,容易受干扰而误导通。
晶闸管从外形上分类主要有:螺栓形、平板形和平底形。
2 普通晶闸管的结构和工作原理
晶闸管是PNPN四层三端器件,共有三个PN结。分析原理时,可以把它看作是由一个PNP管和一个NPN管所组成,其等效图解如图1(a)所示,图1(b)为晶闸管的电路符号。
2.1 晶闸管的工作过程
晶闸管是四层三端器件,它有J1、J2、J3三个PN结,可以把它中间的NP分成两部分,构成一个PNP型三极管和一个NPN型三极管的复合管。
当晶闸管承受正向阳极电压时,为使晶闸管导通,必须使承受反向电压的PN结J2失去阻挡作用。每个晶体管的集电极电流同时就是另一个晶体管的基极电流。因此是两个互相复合的晶体管电路,当有足够的门极电流Ig流入时,就会形成强烈的正反馈,造成两晶体管饱和导通。
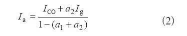
设PNP管和NPN管的集电极电流分别为IC1和IC2,发射极电流相应为Ia和Ik,电流放大系数相应为α1=IC1/Ia和α2=IC2/Ik,设流过J2结的反相漏电流为ICO,晶闸管的阳极电流等于两管的集电极电流和漏电流的总和:
若门极电流为Ig,则晶闸管阴极电流为:Ik=Ia+Ig。
因此,可以得出晶闸管阳极电流为:
硅PNP管和硅NPN管相应的电流放大系数α1和α2随其发射极电流的改变而急剧变化。当晶闸管承受正向阳极电压,而门极未接受电压的情况下,式(1)中Ig=0,(α1+α2)很小,故晶闸管的阳极电流Ia≈ICO,晶闸管处于正向阻断状态;当晶闸管在正向门极电压下,从门极G流入电流Ig,由于足够大的Ig流经NPN管的发射结,从而提高放大系数α2,产生足够大的集电极电流IC2流过PNP管的发射结,并提高了PNP管的电流放大系数α1,产生更大的集电极电流IC1流经NPN管的发射结,这样强烈的正反馈过程迅速进行。
当α1和α2随发射极电流增加而使得(α1+α2)≈1时,式(1)中的分母1-(α1+α2)≈0,因此提高了晶闸管的阳极电流Ia。这时,流过晶闸管的电流完全由主回路的电压和回路电阻决定,晶闸管已处于正向导通状态。晶闸管导通后,式(1)中1-(α1+α2)≈0,即使此时门极电流Ig=0,晶闸管仍能保持原来的阳极电流Ia而继续导通,门极已失去作用。在晶闸管导通后,如果不断地减小电源电压或增大回路电阻,使阳极电流Ia减小到维持电流IH以下时,由于α1和α2迅速下降,晶闸管恢复到阻断状态。
2.2 晶闸管的工作条件
由于晶闸管只有导通和关断两种工作状态,所以它具有开关特性,这种特性需要一定的条件才能转化,此条件见表1。
(1)晶闸管承受反向阳极电压时,无论门极承受何种电压,晶闸管都处于关断状态。
(2)晶闸管承受正向阳极电压时,仅在门极承受正向电压的情况下晶闸管才导通。
(3)晶闸管在导通情况下,只要有一定的正向阳极电压,无论门极电压如何,晶闸管保持导通,即晶闸管导通后,门极失去作用。
(4)晶闸管在导通情况下,当主回路电压(或电流)减小到接近于零时,晶闸管关断。
3 晶闸管的伏安特性和主要参数
3.1 晶闸管的伏安特性
晶闸管阳极A与阴极K之间的电压与晶闸管阳极电流之间关系称为晶闸管伏安特性,如图2所示。正向特性位于第一象限,反向特性位于第三象限。
(1) 反向特性
当门极G开路,阳极加上反向电压时(见图3),J2结正偏,但J1、J2结反偏。此时只能流过很小的反向饱和电流,当电压进一步提高到J1结的雪崩击穿电压后,同时J3结也击穿,电流迅速增加,如图2的特性曲线OR段开始弯曲,弯曲处的电压URO称为“反向转折电压”。此后,晶闸管会发生永久性反向击穿。
(2) 正向特性
当门极G开路,阳极A加上正向电压时(见图4),J1、J3结正偏,但J2结反偏,这与普通PN结的反向特性相似,也只能流过很小电流,这叫正向阻断状态,当电压增加,如图2的特性曲线OA段开始弯曲,弯曲处的电压UBO称为“正向转折电压”。
由于电压升高到J2结的雪崩击穿电压后,J2结发生雪崩倍增效应,在结区产生大量的电子和空穴,电子进入N1区,空穴进入P2区。进入N1区的电子与由P1区通过J1结注入N1区的空穴复合。同样,进入P2区的空穴与由N2区通过J3结注入P2区的电子复合,雪崩击穿后,进入N1区的电子与进入P2区的空穴各自不能全部复合掉。这样,在N1区就有电子积累,在P2区就有空穴积累,结果使P2区的电位升高,N1区的电位下降,J2结变成正偏,只要电流稍有增加,电压便迅速下降,出现所谓负阻特性,见图2中的虚线AB段。这时J1、J2、J3三个结均处于正偏,晶闸管便进入正向导电状态通态,此时,它的特性与普通的PN结正向特性相似,如图2的BC段。
(3) 触发导通
在门极G上加入正向电压时(如图5所示),因J3正偏,P2区的空穴进入N2区,N2区的电子进入P2区,形成触发电流IGT。在晶闸管的内部正反馈作用(如图2)的基础上,加上IGT的作用,使晶闸管提前导通,导致图2中的伏安特性OA段左移,IGT越大,特性左移越快。
3.2 晶闸管的主要参数
(1)断态重复峰值电压UDRM
门极开路,重复率为每秒50次,每次持续时间不大于10ms的断态最大脉冲电压,UDRM=90%UDSM,
UDSM为断态不重复峰值电压。UDSM应比UBO小,所留的裕量由生产厂家决定。
(2)反向重复峰值电压URRM
其定义同UDRM相似,URRM=90%URSM,URSM为反向不重复峰值电压。
(3)额定电压
选UDRM和URRM中较小的值作为额定电压,选用时额定电压应为正常工作峰值电压的2~3倍,应能承受经常出现的过电压。
(4) 通态平均电流IT(AV)(简写为ITa)
工频正弦半波的全导通电流在一个整周期内的平均值,是在环境温度为40℃稳定结温情况下不超过额定值,所允许的最大平均电流作为该器件的额定电流。用最大通态平均电流标定晶闸管的额定电流是由于整流输出电流需用平均电流去衡量,但是器件的结温是由有效值决定的。对于同一个有效值,不同的电流波形,其平均值不一样,因此选用一个晶闸管,要根据使用的电流波形计算出允许使用的电流平均值。
设单相工频半波电流峰值为IM时波形,如图6所示。通态平均电流为:
正弦半波电流有效值:
晶闸管有效值与通态平均电流比值为:
根据有效值相等原则来计算晶闸管流过其它波形电流时的允许平均电流Id。有效值与平均值的比为波形系数:
选用晶闸管时应选晶闸管的通态平均电流ITa为其正常使用电流平均值的1.2~2.0倍,才能可靠工作。
(5)通态平均电压UT(AV)
晶闸管通过正弦半波的额定通态平均电流时,器件阳极A和阴极K间电压的平均值,一般称管压降,约0.8~1V。
(6)维持电流IH
晶闸管从通态到断态,维持通态的最小通态电流(数十毫安到一百多毫安)。
(7)擎住电流IL
晶闸管从断态到通态,移去触发信号,维持晶闸管通态的最小电流(IL>IH)。
(8)门极参数
产品样本中门极触发电流IGT,门极触发电压UGT是产品合格标准,触发电路供给的触发电流和电压比这个数值大,才能可靠触发。使用中不能超过门极的峰值电流、峰值电压、峰值功率和平均功率。
(9)动态参数
断态电压临界上升率du/dt。过大的du/dt会导致PN结J2(它相当于一个电容)产生的充电电流而引起误导通。对于通态电流临界上升率di/dt,晶闸管由断态到通态,首先是由门极G附近小面积范围内导电后展开,如果di/dt过大将造成局部过热,损坏器件。
(10)额定结温TJM
器件正常工作时允许的最高结温,在此结温下,有关额定值和特性才能得以保证,因此晶闸管的散热器选择和冷却效果十分重要。
3.3 其它晶闸管
(1)快速晶闸管
快速晶闸管与普通晶闸管结构原理相同,特点是开关时间短,主要用于逆变器、斩波器及频率为400Hz的变流器,比普通晶闸管反向恢复电流小,关断时间在10μs以下。
(2)逆导晶闸管
在逆变电路、斩波电路中,常将晶闸管和二极管反向并联使用,将晶闸管和整流管做成一个器件就是逆导晶闸管,优点是器件数量少、装置体积小、正向电压小、关断时间短等。
(3)双向晶闸管
双向晶闸管结构和特性,可以等效为一对反并联的普通晶闸管。双向晶闸管常作为UPS的交流开关使用。
(4)门极辅助关断晶闸管
在晶闸管关断的同时在门极G与阴极K之间加反压,把残留的载流子强迫地吸出来,这样起到缩短关断时间的作用,它比快速晶闸管关断的时间还能缩短一半。
3.4 晶闸管的保护电路
晶闸管的保护电路,大致可以分为两种情况:一种是在适当的地方安装保护器件,例如,R-C阻容吸收回路、限流电感、快速熔断器、压敏电阻或硒堆等。再一种则是采用电子保护电路,检测设备的输出电压或输入电流,当输出电压或输入电流超过允许值时,借助整流触发控制系统使整流桥在短时间内工作于有源逆变工作状态,从而抑制过电压或过电流的数值。
(1)晶闸管的过流保护
晶闸管设备产生过电流的原因可以分为两类:一类是由于整流电路内部原因, 如整流晶闸管损坏、触发电路或控制系统有故障等。其中整流桥晶闸管损坏较为严重, 一般是由于晶闸管因过电压而击穿,造成无正、反向阻断能力,它相当于整流桥臂间发生了永久性短路,使在另外两桥臂间的晶闸管导通时,无法正常换流,因而产生线间短路引起过电流。另一类则是整流桥负载外电路发生短路而引起的过电流,这类情况时有发生,因为整流桥的负载实质上是逆变桥, 逆变电路换流失败,就相当于整流桥负载短路。另外,如整流变压器中心点接地,当逆变负载回路接触大地时,也会发生整流桥相对地来说就是短路。
①对于第一类过流,即整流桥内部原因引起的过流,以及逆变器负载回路接地时,可以采用第一种保护措施,最常见的就是接入快速熔断器的方式,如图7所示(F)。快速熔断器的接入方式共有三种,其特点和快速熔断器的额定电流见表2。
②对于第二类过流,即整流桥负载外电路发生短路而引起的过电流,则应当采用电子电路进行保护。常见的电子保护原理如图8所示。
(2)晶闸管的过压保护
晶闸管设备在运行过程中,会受到由交流供电电网进入的操作过电压和雷击过电压的侵袭。同时,设备自身运行中以及非正常运行中也有过电压出现。
①过电压保护的第一种方法是并接R-C阻容吸收回路,以及用压敏电阻RV或硒堆等非线性元件加以抑制,如图9(a)(b)所示。
②过电压保护的第二种方法是采用电子电路进行保护。常见的电子保护原理如图10所示。
(3)电流上升率、电压上升率的抑制保护
①电流上升率di/dt的抑制。晶闸管初开通时电流集中在靠近门极的阴极表面较小的区域,局部电流密度很大,然后以0.1mm/μs的扩展速度将电流扩展到整个阴极面,若晶闸管开通时电流上升率 di/dt过大,会导致PN结击穿,必须限制晶闸管的电流上升率使其在合适的范围内,其有效办法是在晶闸管的阳极回路串入电感,如图11所示。
②电压上升率du/dt的抑制。加在晶闸管上的正向电压上升率du/dt也应有所限制,如果du/dt过大,由于晶闸管结电容的存在而产生较大的位移电流,该电流可以实际上起到触发电流的作用,使晶闸管正向阻断能力下降,严重时会引起晶闸管误导通。为抑制du/dt的作用,可以在晶闸管两端并联R-C阻容吸收回路,如图12所示。
3.5 晶闸管损坏原因判别
(1)电压击穿。晶闸管因不能承受电压而损坏,其芯片中有一个光洁的小孔,有时需用放大镜才能看见。其原因可能是管子本身耐压下降或被电路断开时产生的高电压击穿。
(2)电流损坏。电流损坏的痕迹特征是芯片被烧成一个凹坑,且粗糙,其位置远离门极。
(3)电流上升率损坏。其痕迹与电流损坏相同,而其位置在门极附近或就在控制极上。
(4)边缘损坏。它发生在芯片外圆倒角处,有细小光洁小孔。用放大镜可看到倒角面上有细细金属物划痕,这是制造厂家安装不慎所造成的,会导致电压击穿。
3.6 晶闸管的检测
(1)单向晶闸管的检测方法
取万用表选电阻R×1Ω挡,红、黑两表笔分别测任意两引脚间正反向电阻,直至找出读数为数十欧姆的一对引脚,此时,黑表笔的引脚为门极G,红表笔的引脚为阴极K,另一空脚为阳极A。此时将黑表笔接已判断的阳极A,红表笔仍接阴极K,此时万用表指针应不动;用短线瞬间短接阳极A和门极G,此时万用表电阻挡指针应向右偏转,阻值读数为10Ω左右。如阳极A接黑表笔,阴极K接红表笔时,万用表指针发生偏转,说明该单向晶闸管已被击穿损坏。
(2)双向晶闸管的检测
取万用表电阻R×1Ω挡,用红、黑两表笔分别测任意两引脚间正反向电阻,结果是其中两组读数为无穷大。若一组为数十欧姆时,该组红、黑表所接的两引脚为第一阳极A1和门极G,另一空脚即为第二阳极A2。确定A1、G极后,再仔细测量A1、G极间正、反向电阻,读数相对较小的那次测量的黑表笔所接的引脚为第一阳极A1,红表笔所接引脚为控制极G。将黑表笔接已确定的第二阳极A2,红表笔接第一阳极A1,此时万用表指针不应发生偏转,阻值为无穷大。再用短接线将A2、G极瞬间短接,给G极加上正向触发电压,A2、A1间阻值约10Ω左右。随后断开A2、G间短接线,万用表读数应保持10Ω左右;互换红、黑表笔接线,红表笔接第二阳极A2,黑表笔接第一阳极A1。同样万用表指针应不发生偏转,阻值为无穷大。A2、G极间再次瞬间短接,给G极加上负的触发电压,A1、A2间的阻值也是10Ω左右。随后断开A2、G极间短接线,万用表读数应不变,保持在10Ω左右。符合以上规律,说明被测双向晶闸管未损坏,且三个引脚极性判断正确。
检测功率较大的晶闸管时,需要在万用表黑笔中串接一节1.2V干电池,以提高触发电压。
3.7 晶

最新评论

扫码打开小程序

扫码安装APP

返回顶部