
-
- 常用的功率半导体器件汇总
- 摘要:MCT的等效电路图MCT 是一种新型MOS 与双极复合型器件。如上图所示。MCT是将 MOSFET 的高阻抗、低驱动图 MCT 的功率、快开关速度的特性与晶闸管的高压、大电流特型结合在一起,形成大功率、高压、快速全控型器件。实 ...
-
- 反激式电源中MOSFET的钳位电路
- 摘要:输出功率100W以下的AC/DC电源通常都采用反激式拓扑结构。这种电源成本较低,使用一个控制器就能提供多路输出跟踪,因此受到设计师们的青睐,且已成为元件数少的AC/DC转换器的标准设计结构。不过,反激式电源的一个缺 ...
-
- 为什么用电频率是50Hz?
- 摘要:交流电网频率从凌乱到趋同,是一段漫长而艰苦的过程,也是电力工业发展历程的重要篇章。最后选取50 Hz(或60 Hz)作为频率标准是收到多种因素影响,有技术层面的,更有商业竞争上的原因。这些都必须放到当时的历史背景 ...
-
- 光伏逆变电源设计中你该掌握的8个关键点
- 摘要:小航·光伏常识网络上关于光伏逆变电源系统的设计种类繁多,设计者们可以根据不同的需要进行阅读学习,但有时根据这些资料设计出的成品却不能顺利运行,或者无法达到预期的效果。即便按照参考资料进行反复研究也无法 ...
-
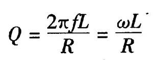
- 电感线圈的品质因素Q
- 摘要:因数Q是表示线圈质量的一个重要参数。Q值的大小,表明电感线圈损耗的大小,其Q值越大,线圈的损耗越小;反之,其损耗越大。品质因数Q的定义为:当线圈在某一频率的交流电压下工作时,线圈所呈现的感抗和线圈直流电阻的 ...
-
- 干货|CBB电容完全替代独石电容是否会提升电路效率?
- 摘要:在积分电路的发展过程中,CBB电容逐渐代替了独石电容。通过这一改动,通道的频率得到了较好的改善。那么是否可以大胆假设,如果将电路中所有的独石电容都替换为CBB电容,那么系统会不会出现性能上的飞跃呢?并且独石 ...
-
- 几款主流pcb软件比较
- 摘要:原理图设计软件:会ORCAD就可以了,支持的Netlist超多,基本是业界标准。PCB Layout软件Protel,现在推Altium Designer.国内低端设计的主流,国外基本没人用。简单易学,适合初学者,容易上手;占用系统资源较多,对 ...
-
- 三极管开关原理与场效应管开关原理
- 摘要:BJT的开关工作原理:形象记忆法 :对三极管放大作用的理解,切记一点:能量不会无缘无故的产生,所以,三极管一定不会产生能量。它只是把电源的能量转换成信号的能量罢了。但三极管厉害的地方在于:它可以通过小电流 ...
-
- 同步整流器与开关MOS在功率电源的耗散
- 摘要:在大功率电源当中,MOS器件的消耗至关重要。其很有可能关系到电源的整体效率。在之前的文章中,小编为大家介绍了一些功率耗散的方法,在本文中,小编将为大家介绍同步整流器耗散与开关MOSFET的耗散的相关知识。同步 ...
-
- 关于运算放大器噪声增益的讨论
- 摘要:导读:在我们平时的设计中很少用到噪声增益这个概念,因为它通常并不是多么的重要,忽略它对我们的设计也不会造成太大的影响,所以我们很少考虑它。在我们平时的设计中很少用到噪声增益这个概念,因为它通常并不是多 ...
-
- 工程师应该掌握的20个模拟电路
- 摘要:对模拟电路的掌握分为三个层次。初级层次是熟练记住这二十个电路,清楚这二十个电路的作用。只要是电子爱好者,只要是学习自动化、电子等电控类专业的人士都应该且能够记住这二十个基本模拟电路。中级层次是能分析这 ...
-
- Protel99SE应用技术问答
- 摘要:Protel 99 SE 应用技术问答问:请问多层电路板是否可以用自动布线答复:可以的,跟双面板一样的,设置好就行了.问:在protel中能否用orcad原理图答复:需要将orcad原理图生成protel支持的网表文件,再由protel打开即可.问: ...
-
- PCB盎司与敷铜厚度的匹配秘籍
- 摘要:1盎司的厚度大约是35um。1OZ意思是1平方英尺的面积上平均铜箔的重量在在28.35g,用单位面积的重量来表示铜薄的平均厚度!换算方法:1平方英尺=929.0304平方厘米,铜箔的重量除以铜的密度和表面积即为铜箔厚度!Cu密度 ...
-
- 史上最全发光二极管运行电流分析!
- 摘要:所谓发光二极管实际上就是日常设计中常见的LED,对于LED来说相信大家必然都不陌生。在本文中,小编就将从初学者的立场出发,为大家讲解有关发光二极管的工作电流运行原理,感兴趣的朋友一起来看一看吧。 发光二极管 ...
-
- 开关电源的测量中安全性解决方案
- 摘要:电源几乎对于每种外接电源的电子产品都必不可少,开关电源系统(SMPS)已成为数字计算、网络、通信系统中的主流结构。开关电源的性能(或者故障)就可能对一个昂贵的大型系统产生重要影响。要确保即将实现的SMPS设计可靠 ...

扫码打开小程序

扫码安装APP