欢迎您,请 登录 或 注册

当前位置:首页 医疗器械维修 基础 电子 查看内容

开关电源的频域分析与综合设计(连载六:实际反馈系统的补偿网络)

2017-7-14 21:59 阅读: 3493 评论: 0 编辑: ygzx1
[导读]一、由跨导运算放大器构成的II补偿器开关电源的频域分析与综合设计 (连载一:概述、 与环路相关的基本概念 )开关电源的频域分析与综合设计 (连载二:电源系统控制原理)开关电源的频域分析与综合设计 (连载三: ...
一、由跨导运算放大器构成的II补偿器
开关电源的频域分析与综合设计 (连载一:概述、 与环路相关的基本概念 )
开关电源的频域分析与综合设计 (连载二:电源系统控制原理)
开关电源的频域分析与综合设计 (连载三:系统的开环响应)
开关电源的频域分析与综合设计 (连载四:开关电源中常见电路的博德响应)
开关电源的频域分析与综合设计 (连载五:运算放大器构成的补偿网络)
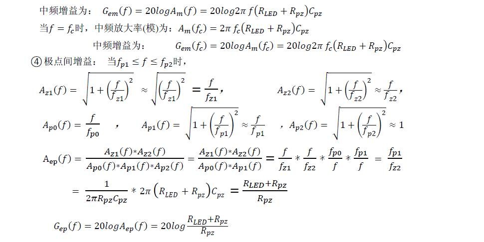
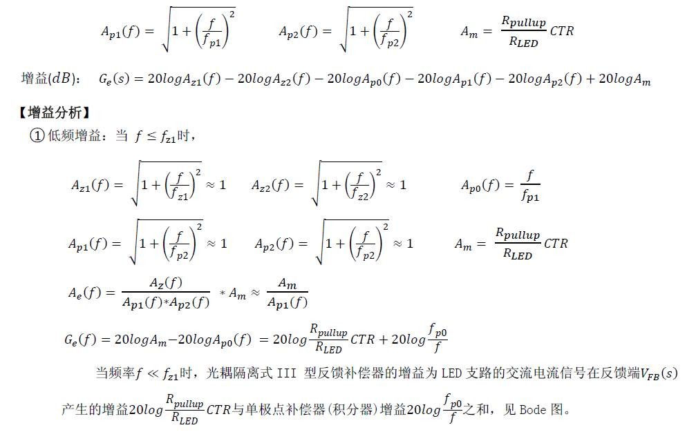
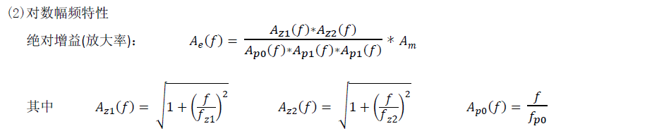
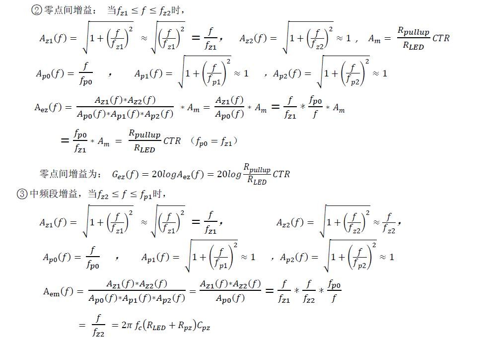
二、用TL431作为误差放大器与光耦PC817构成反馈补偿网络 
 
最全
PFC实战视频教程120讲60小时可能是史上完整的PFC视频教程(共计时长:120讲 60小时)第一部分:开关电源BUCK部分(30小时)一是基于PTS5430芯片的Buck电路;二是基于分立器件去搭Buck电路;三基于LNK306芯片的BUCK电路。第二部分:BOOST部分(10小时)基于UC3842电源芯片的Boost电路。第三部分:功率因素校正(PFC)部分(20小时)基于NCP1654芯片的PFC部分

最新评论

扫码打开小程序

扫码安装APP

返回顶部