欢迎您,请 登录 或 注册

当前位置:首页 医疗器械维修 基础 电子 查看内容

(连载22)反激式变压器开关电源电路参数计算

2017-7-14 21:30 阅读: 400 评论: 0 编辑: ygzx1
[导读](连载22)反激式变压器开关电源电路参数计算(连载01)开关电源的基本工作原理(连载02)串联式开关电源输出电压滤波电路(连载03)串联式开关电源储能滤波电感的计算(连载04)串联式开关电源储能滤波电容的计算(2)(连载05) ...
(连载22)反激式变压器开关电源电路参数计算
(连载01)开关电源的基本工作原理
(连载02)串联式开关电源输出电压滤波电路
(连载03)串联式开关电源储能滤波电感的计算
(连载04)串联式开关电源储能滤波电容的计算(2)
(连载05)反转式串联开关电源
(连载06)反转式串联开关电源储能电感的计算
(连载07)反转式串联开关电源储能滤波电容的计算
(连载08)并联式开关电源的工作原理
(连载09)并联式开关电源输出电压滤波电路
(连载10)并联开关电源储能电感的计算
(连载11)单激式变压器开关电源
(连载12)单激式变压器开关电源工作原理
(连载13)正激式变压器开关电源
(连载14)正激式变压器开关电源的优缺点
(连载15)正激式变压器开关电源电路参数的计算
(连载16)正激式开关电源变压器参数的计算
(连载17)正激式开关电源变压器初、次级线圈匝数比的计算
(连载18)反激式变压器开关电源part1
(连载19)反激式变压器开关电源part2
(连载20)开关电源电路的过渡过程part1
(连载21)开关电源电路的过渡过程part2
1-7-3.反激式变压器开关电源电路参数计算
反激式变压器开关电源电路参数计算基本上与正激式变压器开关电源电路参数计算一样,主要对储能滤波电感、储能滤波电容,以及开关电源变压器的参数进行计算。
1-7-3-1.反激式变压器开关电源储能滤波电容参数的计算
前面已经详细分析,储能滤波电容进行充电时,电容两端的电压是按正弦曲线的速率变化,而储能滤波电容进行放电时,电容两端的电压是按指数曲线的速率变化,但由于电容充、放电的曲率都非常小,所以,把图1-19反激式变压器开关电源储能滤波电容两端电压的充、放电波形画成了锯齿波,这也相当于用曲率的平均值来取代曲线的曲率,如图1-26所示。
图1-26中,uo是变压器次级线圈输出波形,Up是变压器次级线圈输出电压正半周波形的峰值,Up-是变压器次级线圈输出电压负半周波形的峰值,Upa是变压器次级线圈输出电压波形的半波平均值,uc是储能滤波电容两端的电压波形,Uo是反激式变压器开关电源输出电压的平均值,i1是流过变压器初级线圈的电流,i2是流过变压器次级线圈的电流,Io是流过负载两端的平均电流。
从图1-26可以看出,反激式变压器开关电源储能滤波电容充、放电波形与图1-7反转式串联开关电源储能滤波电容充、放电波形(图1-8-b))基本相同,只是极性正好相反。因此,图1-19反激式变压器开关电源储能滤波电容参数的计算方法与图1-7反转式串联开关电源储能滤波电容参数的计算方法完全相同。反激式变压器开关电源储能滤波电容参数的计算,除了参考图1-7以外,还可以参考前面串联式开关电源或反转式串联开关电源中储能滤波电容参数的计算方法,同时还可以参考图1-6中储能滤波电容C的充、放电过程。
从图1-26中可以看出,反激式变压器开关电源与反转式串联开关电源中的储能电感一样,仅在控制开关K关断期间才产生反电动势向负载提供能量,因此,即使是在占空比D等于0.5的情况下,储能滤波电容器充电的时间与放电的时间也不相等,电容器充电的时间小于半个工作周期,而电容器放电的时间则大于半个工作周期,但电容器充、放电的电荷是相等的,即电容器充电时的电流大于放电时的电流。
从图1-26可以看出,反激式变压器开关电源,流过负载的电流比正激式变压器开关电源流过负载的电流小一倍,流过负载的电流Io只有流过变压器次级线圈最大电流iLm的四分之一。在占空比D等于0.5的情况下,电容器充电的时间为3T/8 ,电容充电电流的平均值为3iLm/8 ,或3Io/2 ;而电容器放电的时间为 5T/8,电容放电电流的平均值为0.9 Io。因此有:
ΔQ =(3Io/2 ) ×3T/8 =9IoT/16 D = 0.5时 (1-116)
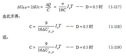
式中ΔQ为电容器充电的电荷,Io流过负载的平均电流,T为工作周期。电容充电时,电容两端的电压由最小值充到最大值(绝对值),相应的电压增量为2ΔUc,由此求得电容器两端的波纹电压ΔUP-P为:
(1-118)式和(1-119)式,就是计算反激式变压器开关电源储能滤波电容的公式(D = 0.5时)。式中:Io是流过负载电流的平均值,T为开关工作周期,ΔUP-P为滤波输出电压的波纹,或电压纹波。一般波纹电压都是取电压增量的峰-峰值,因此,当D = 0.5时,波纹电压等于电容器充电的电压增量,即:ΔUP-P = 2ΔUc 。
同理,(1-118)式和(1-119)式的计算结果,只给出了计算反激式变压器开关电源储能滤波电容C的中间值,或平均值,对于极端情况可以在平均值的计算结果上再乘以一个大于1的系数。
当开关K工作占空比D小于0.5时,由于流过开关电源变压器次级线圈的电流会不连续,电容器放电的时间将远远大于电容器充电的时间,因此,开关电源滤波输出电压的纹波将显著增大。另外,开关电源的负载一般也不是固定的,当负载电流增大的时候,开关电源滤波输出电压的纹波也将会增大。因此,设计开关电源的时候要留有充分的余量,实际应用中最好按(1-118)式计算结果的2倍以上来选取储能滤波电容的参数。
本文章在网上摘抄整理,总共83连载,供大家学习使用。如涉及版权请告知,我们将在24小时内删除。

最新评论

扫码打开小程序

扫码安装APP

返回顶部