欢迎您,请 登录 或 注册

当前位置:首页 医疗器械维修 基础 电子 查看内容

开关电源中的电流互感器设计步骤

2017-7-14 15:19 阅读: 1914 评论: 0 编辑: ygzx1
[导读]开关电源中电流互感器的设计步骤:尽管也可以与变压器类似的去推导电流互感器的铁芯面积积设计公式,但由于电流互感器的功率很小,而且又有具体的一些限制,所以可将其设计作一些简化,下面给出图1这种去磁方式电流 ...
开关电源中电流互感器的设计步骤:
尽管也可以与变压器类似的去推导电流互感器的铁芯面积积设计公式,但由于电流互感器的功率很小,而且又有具体的一些限制,所以可将其设计作一些简化,下面给出图1这种去磁方式电流互感器的设计步骤:
第一步:给出具体变换器中电流互感器取样电路的波形:
如该例子中的图1(b)。
第二步:根据电流互感器的特点选择:
(1):高导磁率材料的铁芯,以便其副边的激磁电感尽可能大;
(2):为加工方便,要尽量减少原副边的匝数,所以可取原边的匝数为一匝。
第三步:计算副边的匝数:
按下列原则选择一个合适的副边匝数Ns
(1):Ns越大,其副边的激磁电感就越大,激磁电流的平均值就越小,电流互感器的精度就越高;
(2):Ns越大,电流互感器的制作就越困难,电流互感器的成本就越高。
所以Ns的选取原则是在满足电流的取样精度要求下,尽可能少。
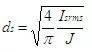
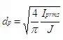
第四步:计算原副边绕组的线径:
原边绕组的直径:
副边绕组的直径:
第五步:决定取样电阻和稳压管参数:
第六步:选择铁芯的参数:
第七步:检验设计:
(1):检查窗口系数:
(2):检查电流误差:
在设计完电流互感器后,可以按设计的参数制作一个电流互感器,再在实际电路中去观察取样电流信号的波形,只有在所有工作状态下,所取样的电流信号均不失真,而且满足精度要求时,电流互感器的设计才是成功的,否则的话就要继续修正其参数,直到满足要求为止。目前在开关电源中所用的多数电流互感器已有标准件,可直接从生产厂家购买。但开发人员还是应该掌握它的设计方法,以便设计一些非标准的电流互感器。


最新评论

扫码打开小程序

扫码安装APP

返回顶部