欢迎您,请 登录 或 注册

当前位置:首页 医疗器械维修 基础 电子 查看内容

【电源知识】软开关技术

2017-7-13 14:48 阅读: 2351 评论: 0 编辑: ygzx1
[导读]软开关技术概 述电力电子装置高频化滤波器、变压器体积和重量减小,电力电子装置小型化、轻量化。开关损耗增加,电磁干扰增大。软开关技术降低开关损耗和开关噪声。进一步提高开关频率。 软开关过程是通过电感L和电 ...
软开关技术
概 述
电力电子装置高频化
滤波器、变压器体积和重量减小,电力电子装置小型化、轻量化。
开关损耗增加,电磁干扰增大。
软开关技术
降低开关损耗和开关噪声。
进一步提高开关频率。
软开关过程是通过电感L和电容C的谐振,使开关器件中的电流(或两端的电压)按正弦或准正弦规律变化,当电流过零时,使器件关断,或者当电压下降到零时,使器件导通。
开关器件在零电压或零电流条件下导通或关断,使器件的开关损耗在理论上为零。
软开关技术的应用使电力电子变换器可以具有更高的效率,功率密度和可靠性同时得到提高,并有效的减小电能变换装置引起的电磁干扰和噪声等。
硬开关:
开关的开通和关断过程伴随着电压和电流的剧烈变化。
产生较大的开关损耗和开关噪声。
图(a) 图(b)
开通损耗:开通过程电流和电压有一个交叠区,产生损耗,称为开通损耗(Turn-on loss),如上图(a)所示。
关断损耗:关断过程电流和电压有一个交叠区,产生损耗,称为关断损耗(Turn-off loss),如上图(b)所示。
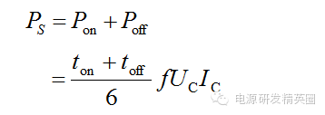
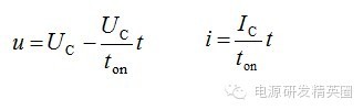
假设导通后流入功率管电流为IC,关断后功率管承受的电压为UC,导通时管压降忽略不计,则导通过程功率管得电流、电压瞬时值i、u。
开通过程:
开通损耗为:
假设导通后流入功率管电流为IC,关断后功率管承受的电压为UC,导通时管压降忽略不计,则关断过程功率管得电流、电压瞬时值i、u。
关断过程:
关断损耗为:
则一个开关周期的平均开通和关断损耗PS为:
除此之外,管子在关断期间输出电容储存的能量,在管子导通时,损耗在器件内部,在高的输入电压下,开通损耗是很大的,尤其当开关频率高到MHz量级时,电容放电引起的开通损耗占决定性因素。这部分损耗为:
软开关电路:
通过在原来的开关电路中增加很小的电感、电容等谐振元件,构成辅助换流网络,在开关过程前后引入谐振过程,使开关开通前电压先降为零,或关断前电流先降为零,就可以消除开关过程中电压、电流的重叠,降低它们的变化率,从而大大减小甚至消除开关损耗和开关噪声,称为软开关电路。
软开关:
具有如上图所示的开关过程的开关称为软开关。
使开关开通前两端电压为零,这种开通方式称为零电压开通,简称零电压开关
使开关关断前流过其电流为零,这种关断方式称为零电流关断,简称零电流开关。
软开关分为:
零电压开关
零电流开关
软开关技术问世以来,经历了不断的发展和完善,前后出现了许多种软开关电路,新型的软开关拓扑仍不断的出现。
根据电路中主要的开关元件是零电压开通还是零电流关断,软开关电路分为:
零电压电路
零电流电路
根据软开关技术发展的历程,可以将软开关电路分为
谐振型变换器
准谐振变换器
零开关PWM变换器
零转换PWM变换器
移相全桥 PWM软开关变换器
待续......


最新评论

扫码打开小程序

扫码安装APP

返回顶部