欢迎您,请 登录 或 注册

当前位置:首页 医疗器械维修 基础 电子 查看内容

【太全了】包含14种拓扑--开关电源mos管,整流管,续流管的电压电流应力计算!

2017-7-14 21:58 阅读: 2422 评论: 0 编辑: ygzx1
[导读]Buck 变换器的功率器件设计公式(1):Buck 变换器的电路图:(2):Buck 变换器的主要稳态规格:(3):功率器件的稳态应力:-- 有源开关 S:-- 无源开关 D:上述公式是稳态工作时,功率器件上的电压、电流应力。选 ...
Buck 变换器的功率器件设计公式
 
(1):Buck 变换器的电路图:
(2):Buck 变换器的主要稳态规格:
(3):功率器件的稳态应力:
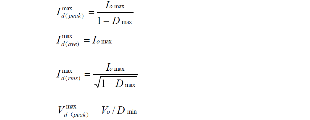
-- 有源开关 S:
-- 无源开关 D:
上述公式是稳态工作时,功率器件上的电压、电流应力。选择功率器件时,其电压耐量可放一个合适的余量(保证最坏情况下的电压峰值不超过此值),电流耐量则得按器件的结温降额要求决定、它与外部散热条件和器件的通态电阻、通态压降、结电容、反向恢复、结到壳的热阻等密切相关,是功率器件热设计的内容,将在以后的栏目中介绍。
Boost 变换器的功率器件设计公式 
(1):Boost 变换器的电路图:
(2):Boost 变换器的主要稳态规格:
(3):功率器件的稳态应力:
-- 有源开关 S:
-- 无源开关 D:
上述公式是稳态工作时,功率器件上的电压、电流应力。选择功率器件时,其电压耐量可放一个合适的余量(保证最坏情况下的电压峰值不超过此值),电流耐量则得按器件的结温降额要求决定、它与外部散热条件和器件的通态电阻、通态压降、结电容、反向恢复、结到壳的热阻等密切相关,是功率器件热设计的内容,将在以后的栏目中介绍。
Buckboost 变换器的功率器件设计公式
(1):Buckboost 变换器的电路图:
(2):Buckboost 变换器的主要稳态规格:
(3):功率器件的稳态应力:
-- 有源开关 S:
-- 无源开关 D:
上述公式是稳态工作时,功率器件上的电压、电流应力。选择功率器件时,其电压耐量可放一个合适的余量(保证最坏情况下的电压峰值不超过此值),电流耐量则得按器件的结温降额要求决定、它与外部散热条件和器件的通态电阻、通态压降、结电容、反向恢复、结到壳的热阻等密切相关,是功率器件热设计的内容,将在以后的栏目中介绍。
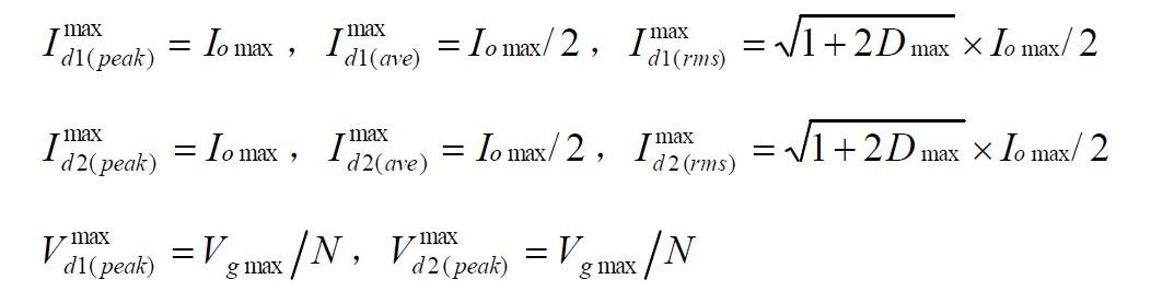
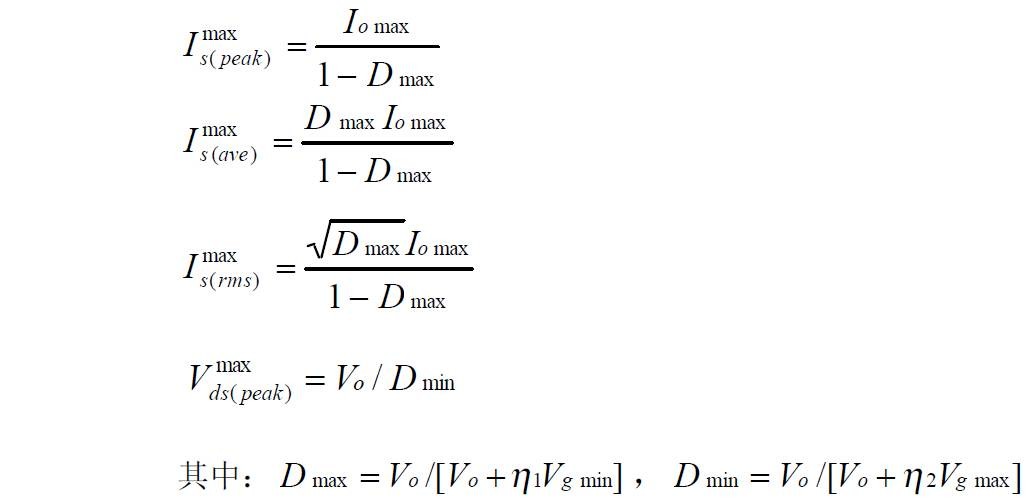
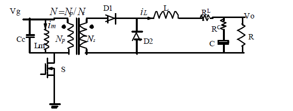
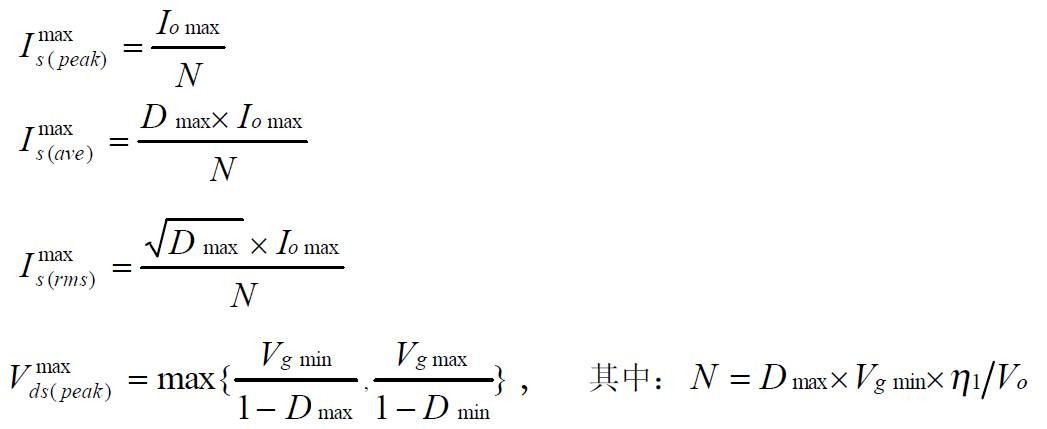
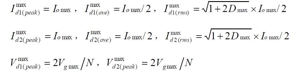
三绕组去磁正激变换器的功率器件设计公式(1):三绕组去磁正激变换器的电路图:
(2):三绕组去磁正激变换器的主要稳态规格:
(3):功率器件的稳态应力:
-- 有源开关 S:
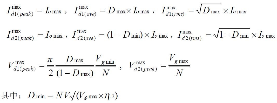
-- 无源开关 D1,D2:
上述公式是稳态工作时,功率器件上的电压、电流应力。选择功率器件时,其电压耐量可放一个合适的余量(保证最坏情况下的电压峰值不超过此值),电流耐量则得按器件的结温降额要求决定、它与外部散热条件和器件的通态电阻、通态压降、结电容、反向恢复、结到壳的热阻等密切相关,是功率器件热设计的内容,将在以后的栏目中介绍。
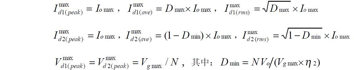
二极管去磁双正激变换器的功率器件设计公式(1):二极管去磁双正激变换器的电路图:
(2):二极管去磁双正激变换器的主要稳态规格:
(3):功率器件的稳态应力:
-- 有源开关 S1,S2:
-- 无源开关 D1,D2:
上述公式是稳态工作时,功率器件上的电压、电流应力。选择功率器件时,其电压耐量可放一个合适的余量(保证最坏情况下的电压峰值不超过此值),电流耐量则得按器件的结温降额要求决定、它与外部散热条件和器件的通态电阻、通态压降、结电容、反向恢复、结到壳的热阻等密切相关,是功率器件热设计的内容,将在以后的栏目中介绍。
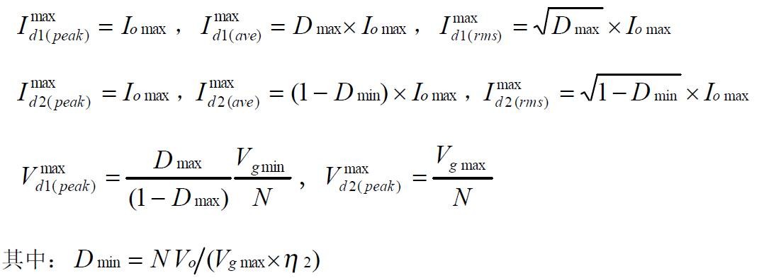
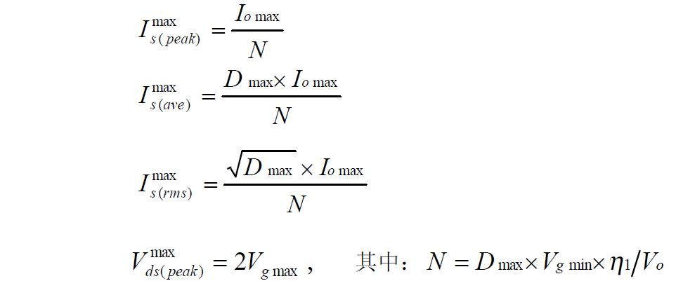
谐准去磁正激变换器的功率器件设计公式(1):谐准去磁正激变换器的电路图:
(2):谐准去磁正激变换器的主要稳态规格:
(3):功率器件的稳态应力:
-- 有源开关 S:
-- 无源开关 D1,D2:
上述公式是稳态工作时,功率器件上的电压、电流应力。选择功率器件时,其电压耐量可放一个合适的余量(保证最坏情况下的电压峰值不超过此值),电流耐量则得按器件的结温降额要求决定、它与外部散热条件和器件的通态电阻、通态压降、结电容、反向恢复、结到壳的热阻等密切相关,是功率器件热设计的内容,将在以后的栏目中介绍。
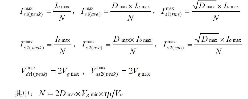
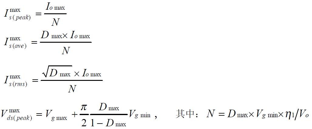
有源去磁正激变换器的功率器件设计公式(1):有源去磁正激变换器的电路图:
(2):有源去磁正激变换器的主要稳态规格:
(3):功率器件的稳态应力:
-- 有源开关 S:
-- 无源开关 D1,D2:
上述公式是稳态工作时,功率器件上的电压、电流应力。选择功率器件时,其电压耐量可放一个合适的余量(保证最坏情况下的电压峰值不超过此值),电流耐量则得按器件的结温降额要求决定、它与外部散热条件和器件的通态电阻、通态压降、结电容、反向恢复、结到壳的热阻等密切相关,是功率器件热设计的内容,将在以后的栏目中介绍。
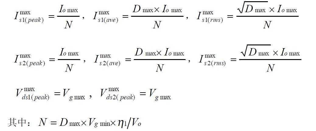
对称驱动半桥变换器的功率器件设计公式(1):对称驱动半桥变换器的电路图:
(2):对称驱动半桥变换器的主要稳态规格:
(3):功率器件的稳态应力:
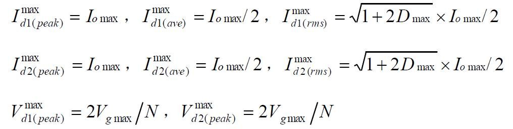
-- 有源开关 S1,S2:
-- 无源开关 D1,D2:
上述公式是稳态工作时,功率器件上的电压、电流应力。选择功率器件时,其电压耐量可放一个合适的余量(保证最坏情况下的电压峰值不超过此值),电流耐量则得按器件的结温降额要求决定、它与外部散热条件和器件的通态电阻、通态压降、结电容、反向恢复、结到壳的热阻等密切相关,是功率器件热设计的内容,将在以后的栏目中介绍。
对称驱动全桥变换器的功率器件设计公式(1):对称驱动全桥变换器的电路图:
(2):对称驱动全桥变换器的主要稳态规格:
(3):功率器件的稳态应力:
-- 有源开关 S1(S3),S2(S4):
-- 无源开关D1,D2:
上述公式是稳态工作时,功率器件上的电压、电流应力。选择功率器件时,其电压耐量可放一个合适的余量(保证最坏情况下的电压峰值不超过此值),电流耐量则得按器件的结温降额要求决定、它与外部散热条件和器件的通态电阻、通态压降、结电容、反向恢复、结到壳的热阻等密切相关,是功率器件热设计的内容,将在以后的栏目中介绍。
对称驱动推挽变换器的功率器件设计公式(1):对称驱动推挽变换器的电路图:
(2):对称驱动推挽变换器的主要稳态规格:
(3):功率器件的稳态应力:
-- 有源开关 S1,S2:
-- 无源开关 D1,D2:
上述公式是稳态工作时,功率器件上的电压、电流应力。选择功率器件时,其电压耐量可放一个合适的余量(保证最坏情况下的电压峰值不超过此值),电流耐量则得按器件的结温降额要求决定、它与外部散热条件和器件的通态电阻、通态压降、结电容、反向恢复、结到壳的热阻等密切相关,是功率器件热设计的内容,将在以后的栏目中介绍。
对称驱动推挽正激变换器的功率器件设计公式(1):对称驱动推挽正激变换器的电路图:
(2):对称驱动推挽正激变换器的主要稳态规格:

最新评论