欢迎您,请 登录 或 注册

当前位置:首页 医疗器械维修 基础 电子 查看内容

【实例】基于L6562A的APFC设计

2017-7-14 21:58 阅读: 3727 评论: 0 编辑: ygzx1
[导读]1、前言传统AC/DC采用桥式整流器和大容量滤波电容器组成的电容输入型电路,其PF值较低,一般为0.55~0.652、临界电流模式的APFC原理PFC分类:●无源功率因数校正法(PPFC)●有源功率因数校正法(APFC)Boost电路以其特 ...
1、前言
传统AC/DC采用桥式整流器和大容量滤波电容器组成的电容输入型电路,其PF值较低,一般为0.55~0.65
2、临界电流模式的APFC原理 
 
PFC分类:
●无源功率因数校正法(PPFC)
●有源功率因数校正法(APFC)
Boost电路以其特有的优点被广泛地应用于APFC变换器
目前,市场上有许多芯片应用于APFC,根据电感电流是否连续,分为两种
●连续导通模式(CCM )
●临界或过渡导通模式(TCM)
L6562A是ST公司PFC产品系列的最新器件之一,它是在L6561和L6562基础上进一步改善开发的,主要是应用于TCM的功率因数校正电路。
L6562A主要特点有:
●乘法器内置THD优化电路,以减小过零点失真,降低THD值(这是L6561所不具备的);
●极低启动电流(典型值:30uA;保证60uA以下),可降低芯片功耗;
●内部参考电压于25℃时误差率在1﹪以内;
●除能(Disable)功能,当误差放大器输入低于0.2V,系统将关闭,降低损耗;
●精确可调的外部过电压保护;
●内部启动及零电流侦测(ZCD)功能;
●在电流检测输入端内置领先的数字RC滤波器,过零频率附近的高频区域仍然可以工作,因此降低了总的谐振失真度;
●800mA的图腾级输出,可用于直接驱动Power MOSFET。
这些特点比L6561和L6562都有较好的改善
L6562A是采用变频的PFC控制芯片,使Boost电路升压电感工作在临界电流模式。
下面推导其功率因数校正的原理。
3、基于L6562A的APFC设计 
采用基于L6562A的Boost APFC电路,设计一台75W的样机Ui=176-265Vac、Uo=400V
电感设计:
●本电路工作于变频控制方式,设计电感时,要按最低开关频率考虑最低开关频率要大于内部启动器的最大频率,以确保电路工作于正确的TCM操作
●L6562A芯片的最小工作频率建议大于14kHz,以不干扰内部启动器(内部最小重启时间为75us)确保芯片在临界电流模式工作,本设计最小开关频率选为25kHz
●开关频率最小值发生在输入电压幅值时(θ=90°)最大值发生在输入电压过零时(θ=0°)
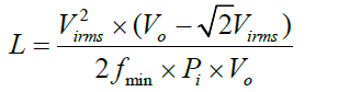
下面推导电感L与fmin的关系:
根据式
当输入电压变化时,开关的最小频率也在变化由图可知fmin可能出现在最小或者最大Virms下
根据式
即可确定电感值L
依据下式的AP值即可设计电感器
其中Iirms=Pi/Virms
J为线圈电流密度
Bm为磁心最大工作磁密
Ku为线圈窗口填充系数
Ku为线圈窗口填充系数
4、结论
通过实验结果分析表明基于L6562A 的临界连续模式的有源功率因数校正电路具有:
●结构简单、体积小、工作稳定可靠
●PF值高、THD值低
●适用于小功率APFC 电路应用
最全
PFC实战视频教程120讲60小时可能是史上完整的PFC视频教程(共计时长:120讲 60小时)第一部分:开关电源BUCK部分(30小时)一是基于PTS5430芯片的Buck电路;二是基于分立器件去搭Buck电路;三基于LNK306芯片的BUCK电路。第二部分:BOOST部分(10小时)基于UC3842电源芯片的Boost电路。第三部分:功率因素校正(PFC)部分(20小时)基于NCP1654芯片的PFC部分

最新评论

扫码打开小程序

扫码安装APP

返回顶部