欢迎您,请 登录 或 注册

当前位置:首页 医疗器械维修 基础 电子 查看内容

运放实际应用中常见的8大问题总结

2017-7-14 21:58 阅读: 2747 评论: 0 编辑: ygzx1
[导读]引言算放大器最初诞生时是用来作为各种模拟信号的运算,这个名字后来一直沿用至今,但是现在已经不仅仅是所谓的“运算”了,如今它充当的角色更多的是“信号调理兼放大”。信号放大可以说是对模拟信号最基本的处理了 ...
引言
算放大器最初诞生时是用来作为各种模拟信号的运算,这个名字后来一直沿用至今,但是现在已经不仅仅是所谓的“运算”了,如今它充当的角色更多的是“信号调理兼放大”。信号放大可以说是对模拟信号最基本的处理了,放大的本质是能量的控制和转换,它在输入信号的作用下,通过放大电路将直流电源的能量转化成负载所获得的能量,使得负载从电源获得的能量大于信号源所提供的能量,这也就说明,负载上总是获得比输入信号大得多的电压或者电流,有时这两种情况都发生。
以下是我们在使用运算放大器时需要注意的几个重要问题,我争取用最简单的原理图以“看图说话”的方式来说清楚我要表达的意思,以免给工程师朋友带来不必要的视觉疲劳.
1、首先应该好好理解运放的最简模型:
 
从运放的原理来说,我们可以将运放看成是一个压控电压源,其中,运放的输出由受控电压源提供,而受控电压源的控制电压就是输入端的差分电压,如下图所示:
2、运放输出端的电流约束仍然遵循Kirchhoff电流定律: 
这里不能认为流过反馈电阻Rf的电流和流过负载电阻RL的电流是相等的,因为电流i是“有机会”流入运放的输出端的,这是由芯片内部的构造决定的,尤其是高精度应用时应该好好提防这一点。
3、使用运放时需要注意由电阻自身杂散电容而产生的影响:
这个反向比例运算电路的增益函数如下:
这里,C1会使得频率特性出现尖峰脉冲,而C2会使得高频领域的增益下降,从而导致频率特性恶化!对于一般的低频应用而言,这个因素是可以“视而不见”的,但是如果需要低噪声环境的话,就需要尽量减小Ri和Rf的阻值,因为这样可以减小杂散电容的影响,或者干脆使用高精度的电阻也行,如果开发成本允许的话。
4、对于反馈系数的量化问题不应该含糊:
从这两个图可以看出,虽然他们的增益绝对值是一样的,都是1,说白了这两个电路都可以看作是一个电压跟随器。显然图(b)的负反馈系数要大,性能应该会更好,但是它防止振荡的能力却不如图(a)的电路,因为它对于信号的变化过于“敏感”。所以在实际设计电路时,对于反馈系数的量化问题是不能含糊的,它很大程度地决定了系统的“稳”、“快”、“准”这三个方面。最终的电路设计应该是这三个方面的折中,以此达到传说中的性能最优化。
5、
单电源供电时需注意输出电压摆幅的问题:
如上图所示,由于是单电源供电,那么运放的两个输入端必须加有直流偏压,而且为了使电路的输出电压的动态范围最大化,一般要求VP=VN=VCC/2。此外,这里运放的输入、输出端的直流电位不为零,So,需要采用电容(C1、C2)来耦合信号。
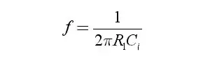
6、得注意运放的输入寄生电容:
由于运放的内部结构因素,导致运放具有数pF~数十pF的输入寄生电容,这自然使得运放的稳定性变差了,输入寄生电容会和输入电阻一起形成一个容易被人忽略的LPF,倘若输入信号的频率超过一定值,则就会丢失信息。这个频率值函数为:
为了解决这个问题,一般采用如下电路所示的方法:
由于输入寄生电容使得相位滞后,因此可以用超前相位的补偿来防止振荡,上图中的CF有相位超前的作用,有效地解决了寄生电容所带来的问题。通常CF取值要稍大于Ci。
7、需要防止运放进入非线性区,除非该运放用于比较器电路:
这是一个很普通的积分电路。如果输入信号的频率过低的话,则没有反馈回路了,即此时电路处于开环状态,也就意味着运放的电压增益非常大,输出电压将极易进入非线性区,就失去信号放大的意义了。为此,我们可以在电容两端并联一个电阻来加以限制运放的增益。如下图
8、对于输出电阻应该知道是怎么回事:
对于图(a)来说,输出电阻由R决定,而对于图(b)来说,由于R放在反馈电路内部,所以它的输出阻抗非常低,驱动能力比图(a)所示电路显然要好。
以上只是运算放大器的使用注意事项中的几个点,更多的得需要我们在实践中不断总结,不断积累,以及借鉴前人的经验,只有这样,我们才能更好地认识和运用运算放大器,才有可能把前端信号调理地更好。
最全
PFC实战视频教程120讲60小时可能是史上完整的PFC视频教程(共计时长:120讲 60小时)第一部分:开关电源BUCK部分(30小时)一是基于PTS5430芯片的Buck电路;二是基于分立器件去搭Buck电路;三基于LNK306芯片的BUCK电路。第二部分:BOOST部分(10小时)基于UC3842电源芯片的Boost电路。第三部分:功率因素校正(PFC)部分(20小时)基于NCP1654芯片的PFC部分

最新评论

扫码打开小程序

扫码安装APP

返回顶部