欢迎您,请 登录 或 注册

当前位置:首页 医疗器械维修 基础 电子 查看内容

讲述AP法计算电源变压器的来龙去脉!

2017-7-14 21:33 阅读: 13449 评论: 0 编辑: ygzx1
[导读]引言AP表示磁心有效截面积与窗口面积的乘积。计算公式为式中,AP的单位是cm4;Aw为磁心可绕导线的窗口面积(cm2)Ae为磁心有效截面积(cm2),Ae≈Sj=CD,Sj为磁心几何尺寸的截面积,C为舌宽 ,D为磁心厚 度。根据计算出 ...
引言 
AP表示磁心有效截面积与窗口面积的乘积。
计算公式为 
式中,AP的单位是cm4;Aw为磁心可绕导线的窗口面积( cm2) Ae为磁心有效截面积( cm2),Ae≈Sj=CD,Sj 为磁心几何尺寸的截面积,C为舌宽 ,D为磁心厚 度。根据计算出的AP值 ,即可查表找出所需磁心型号 。下面介绍将AP法用于开关 电源高频变压器设计时的公式推导及验证方法。
1 高频变压器电路的波形参数分析 
开关 电源 的 电压 及 电流波 形 比较复杂 ,既有输入正弦波、半波或全波整流波 ,又有矩形波 ( PWM波形) 、锯齿波( 不连续电流模式的一次侧电 流波形) 、梯形波( 连续电流模式的一次侧电流波 形) 等。高频变压器 电路 中有3个波形参数 :波形系数( Kf) ,波形因数(kf) ,波峰因数(kP)。
1)波形系数Kf
为便 于分析 ,在 不考 虑铜 损 的情 况 下给高频变压器 的输入端施加交变的正弦波 电流 ,在一次、二次绕组中就会产生感应电动势e。根据法拉第电磁感应定律,e=dΦ/dt =d( NABsinωt ) /dt = NABoωcosωt其 中N为绕组 匝数 ,A为变压器磁心的截面积 ,B为交变 电流产生的磁感应强度 ,角频率ω=2Πf 。正弦波的电压有效值为
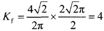
在开关电源中定义正弦波的波形系数Kf=√2*Π=4.44利用傅里叶级数不难求出方波的波形系数。
2)波形因数kf
 为便于对方波、矩形波 、三角波 、锯齿波、梯形波等周 期性非正弦波形进行分析 ,需要引入 波形 因数的概念 。在 电子测量领域定义的波形因 数与开关 电源波形系数的定义有所不 同,它表示 有效值电压
压(URMS) 与平均值电压之比,为便于和Kf区分,这里用小写的kf表示,有公式 
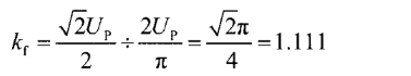
以正弦波为例 ,
这表明,Kf=4kf,二者相差4倍。
开关电源6种常见波形的参数见表1。因方波和梯形波的平均值为零 ,故改用电压均绝值来代替 。对于矩形波, 表示脉冲宽度 ,丁表示周期 ,占空 比D=t/T。
2 用AP法( 面积乘积法) 选择磁心的公式推导
令一次绕组 的有效值 电压为 U1,一次绕组的匝数为NP, 所选磁心的交流磁通密度为BAC,磁通量为Φ,开关周期为T,开关频率为f,一次侧电流的波形系数为Kf,磁心有效截面积为Ae ( 单位是cm2),有关系式
考虑Kf=4kf关系式之后 ,可推导出 
同理,设二次绕组的有效值电压为US,二次 绕组的匝数为NS,可得
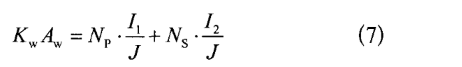
设绕组的电流密度为(单位是A/cm2) ,导线 的截面积为S=I/J。令高频变压器的窗口面积利 用系数为KW,一次、二次绕组的有效值电流分别为I1、I2,绕组面积被完全利用时
再将( 5 ) 式和( 6 ) 式代入( 8) 式中整理后得到 
高频变压器的视在功率表示一次绕组和二次绕组所承受 的总功率,即S=PI +PO。因电源效率η=Po/PI ,故Po+PI=Po/η+ Po=( 1+η) Po/η。代 入( 10) 式最终得 到
这就是AP法选择磁心的基本公式。下面将从工程设计的角度对( 11 ) 式做深入分析和适当简化 ,重点是对式中的K 、BAC参数做进一步推导。
 开关电源一次侧的电压波形可近似视为矩形波 ,即
;但一次侧的 电流波形 不是矩形 波 ,而 是锯齿波 ( 工作在 不连 续电流模式DCM) 或梯形波( 工作在连续电流模式 CCM) 。不连续电流模式和连续电流模式的一次侧电流波形分别如图1 ( a) 、( b) 所示。以不连续电流 模式为例 ,一次侧电流波形是周期性通、断的锯 齿波,仅在功率开关管( MOSFET) 导通期间,一次侧出现锯齿波 电流 ;在功率开 关管关断期间 ,一 次侧电流为零。令导通时间为tON,开关周期为T, D=tON/T。对于周期性通、断的锯齿波,一 次侧电流的波形因数可用k'f表示,有关系式 
查表1,周期性锯齿波的kf=1.155,代人式 (12) 中得k'f=1.115D。此时需将式( 11 ) 中的换成 1.115D。
在连续电流模式下一次侧电流波形为周期性 通、断的梯形波,其波形因数比较复杂。一种简 单方法是先按照不连续电流模式选择磁心,然后 适 当增加磁心尺寸 ,以便通过增大一次绕组的电感量 ,使开关电源工作在连续电流模式。
磁心的交流磁通密度(BAC ) 可根据最大磁通密度(BM)来求出,对于反激式开关电源,计算公式为
式中,KRP为脉动系数,它等于一次侧脉动电流IR与峰值电流IP的比值;在连续电流模式时KRP<1;不连续电流模式时KRP=1 。Z为损耗分 配系数,它表示二次侧的损耗与总功耗的比值 ,在极端情况下 ,Z=0表示全部损耗发生在一次 侧,此时负载开路;Z=1 贝0 表示全部损耗发生在 
二次侧 ,此时负载短路 。一般情况下取Z=0. 5,因此BAC=0.5BMKRP。将k'f =1.115D和BAC= 0.5BMKRP一并代人式( 1 1 ) 中,整理后得到 
这就 是AP法选择磁 心 的实用公 式。式(14)是按照单极性变压器的绕组 电流及输出功率推导出来的,适用 于单端 正激 式或反 激 式高频 变 压器 的设计。式中,AP的单位为cm4,Po的单 位为W。电流密度一般取J=200~600A/cm2( 即 2~6A/mm2) 。窗口面积的利用系数一般取KW= 0.3~0.4。如高频变压器有多个绕组,就应计算 全部绕组的匝数与对应电流的乘积之和。
进一步分析可知,对于不连续电流模式(KRP= 1 ) ,式( 1 4) 可简化为
对于连续电流模式( KRP<1 ) ,假定KRP=0.8,式( 14 ) 可简化为
对于单端正激 式高频变压器而言 ,最大占空Dmax <0. 5。如选择实际 占空比D=0. 4,电源效率η=80%,窗口面积利用系数KW=0. 4,J = 400A/cm2,则式( 14) 可简化为
式( 1 5 ) ~( 1 7) 都是根据不同电路结构和指定参数简化而来的,当实际参数改变时 ,计算结果会 有误差。更为准确的方法是采用式( 1 4) 计算。推而 广之,可总结出下述规律 :第一,在输出功率相 同的条件下,全桥和半桥式变换器所需高频变压 器的体积最小,单端正激式变压器的体积最大;第二,在输出功率相同的条件下,连续电流模式 的AP值要大于不连续电流模式,这表明连续电流 模式所需高频变压器的体积较大 ,而不连续 电流模式所需高频变压器体积较小 ;第三 ,上述公式 均未考虑磁心损耗 、磁心材料存在的差异 、磁心 损耗随开关频率及环境温度升高而增大等因素,因此仅供选择磁心时参考。
3 用AP法选择磁心的验证 
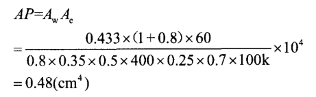
设计一个输出功率为60W的反激式通用开关电源模 块 ,要求交 流输入 电压为 85~265V,输 出为 +12V、5A。采用AP法选择磁心 ,已知η=80%,PO=60W ,KW=0.35,D=0.5;对于反激 式开关 电源,BM值应介于0. 2~0. 3T之间 ,现取BM=0.25T,KRP=0. 7,f=100kHz,一并代入式 (14) 中得到
根据AP=0. 48cm4,从表 l中查 出与之接 近 的最小磁心规格为EI28,其AP=0.58cm4 。考虑 到磁心 损耗等 因素 ,至少应选择EI30型磁心 ,此时AP=0.91cm4,Ae=1.09cm2。若按经验公式Ae≈Sj=0.15√(P

最新评论