欢迎您,请 登录 或 注册

当前位置:首页 医疗器械维修 基础 电子 查看内容

【面试必备】从易到难三个经典开关电源问题--附答案解析

2017-7-14 21:32 阅读: 2973 评论: 0 编辑: ygzx1
[导读]摘要请您在烦忙的日常工作之余稍事休息,来回答下面三个关于多路输出电源连续工作模式的问题,测试一下您的电源设计知识。然后核对你的答案。下图是一个典型的多路输出单端反激式开关电源原理图。下面是关于深度工作 ...
摘要
请您在烦忙的日常工作之余稍事休息,来回答下面三个关于多路输出电源连续工作模式的问题,测试一下您的电源设计知识。然后核对你的答案。
下图是一个典型的多路输出单端反激式开关电源原理图。下面是关于深度工作模式的问题。
问题1:初级问题 
漏极电流波形A、B是在同一个电源但变压器原边电感量不同的条件下测量的。表1既包括有效电流和包括峰值电流。
a. 从(W、X、Y和Z)选出波形A、B的峰值电流值
b. 从(W、X、Y和Z)选出波形A、B的有效电流值
c. 峰值电流和有效电流中,哪一个对电源效率更重要?
参考答案:
a. 波形A 的峰值电流值Ipk= Y (1.2 A)。波形B 的峰值电流值Ipk= X (0.88 A)。
这可从波形图上直接测出。
b. 波形A的有效电流值 Irms= W (0.568 A)。波形B 的有效电流值Irms= Z (0.538 A)。
有效电流可按如下方法计算:
有效电流和极限电流的计算
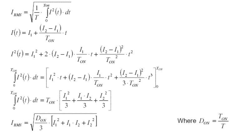
下述公式给出了原边电流在不连续模式或边界连续/不连续)状态下有效电流的计算方法:
下述公式给出了原边电流在连续模式状态下的有效电流计算方法:
运用本公式和从原边电流波形测得数据,我们都可以计算出以上两个电流波型的有效电流值。请注意波形A是轻度连续 - 这可以从波形
A的非零初始电流值看出来。因此波形A和波形B都应该运用连续模式公式来计算有效值。
表2- 波形A、B - 测量数据
表3- 波形A、B - 计算值
有效电流和峰值电流都会影响电源效率。峰值电流决定漏(1/2.L.Ipk2))的寄生功率损失。有效电流决定有阻元件,如主MOSFET管(IRMS2. RDs(ON))和电源内有阻元件的功率损失。可以看出,以连续导电模式工作将大大降低有效电流(要知道阻抗损失与有效电流的平方成比例,因此有效电流即使增量很小,计算出的阻抗损失也可能很大)。
例如对于所论述的电源,波形A、B的效率分别如下:
表4- 波形A、B – 电源效率
本实例说明只要开关电流有效值少量减少就可以很大程度地提高电源效率。
问题2:高级问题 
a. 请将波形A和波形B与交叉调节性能数据(P和Q)相匹配。
b. 为什么原边电感量变化会引起交叉调节性能的变化?
表5- 从最小负载到最大负载的各种输出的调节百分比(±)
参考答案:
a. 波形A与交叉调节结果Q相配,波形B与交叉调节结果P相配。
b. 反(激)式变压器的原边电感量不仅决定工作模式,即是连续,或者是不连续,而且决定联系或不连续的程度。在给定的输出功率的情况下,以连续模式工作时(例如波形B)具有较低的峰值电流,这将改善交叉调节。
表6- 波形A和波形B - 从最小负载到最大负载的调节百分比(±)。
上图为一个多路输出反(激)式变压器的电感模型,变压器显示具有如下参量:
LM – 磁化(主)电感
LLK – 初始磁漏电感 – 由此磁漏电感引起的电压尖脉冲受钳位电路 (D1、C1和R1)的限制。
LS1 – 输出1次级磁漏电感
LS2 – 输出2次级磁漏电感
当主开关(SW1)接通时,磁化电感和原边漏感内的电流会同时增加。主开关关闭时,Lm两端的电压受到限制,同时原边漏感复位,,它的电流释放到主钳位电路(R1、C1和D1)中。一旦原边漏感回零,磁化电感内的余能会输送到次级回路内。由于这是一种反激式拓朴技术,次级绕阻电流在SW1关闭时(图b)从零开始增加,由于LS1和LS2之间的电流较大,所以在LS1和LS2上形成压降。此电压使各种输出之间产生误差,输出取决于次级极限电流,进而取决于输出负载和工作模式。由于连续模式设计具有较低的次级峰值电流,这种误差可以降低到最小因而交叉调整率得到改善
下图所示波形取自一张两路同为5V输出电源的模拟图。所示为两变压器的显示结果:一个电感较高(工作模式为深度连续导电模式),另一个电感较低(工作模式为不连续导电模式)。
从每组图的下方波形可以很容易地看出两种输出电压VOUT1和VOUT2,随着输出负载的不同而不同(如图11至14所示,一个在最低负载,另一个在最高负载)。这是因为各自的次级漏感的压降不同而造成的。同样可以看出输出调整率在深度连续的工作模式下要大大优于其它模式(这是由于较低的di/dt和极限电流)。
注意:当两种输出的负载电流相同时(如图9、10、15和16所示),在调整率上将无差别,因为两种情况下的次级漏感的压降相同。
问题3:专业问题 
多路输出电源在以连续方式工作时的主要优点是什么?在进入深度连续模式的能力上,电压控制模式和电流控制模式有什么不同?
参考答案:
连续工作模式具有如下主要优点:
● 较低的有效电流可产生较高的效率
●在多路输出设计中,较小峰值电流较低有利于交叉调整率
●较低的峰值电流较低会同样有益于减少差模传导(辐射)EMI(或可用较小输入电容)。
●较低峰值电流和有效电流有利于改善输出纹波(或可用较小的输出电容)
●连续工作模式能产生更高的回路增益,因而比非连续工作模式有更快的响应速度。
基本上,电流控制模式占空比不能超过50%否则有不稳定工作的风险。在一定输出功率条件下,相对允许占空比大于50%而言,50%最大空比的限制比会导致更高的峰值电流。用斜率补偿的方式可以突破50%的占空比的限制,但这需要对器件进行认真选择。
与之相反,电压控制模式对最大空比没有限制。这使得极连续的电压模式设计具有其特有的优点。 
以上三道题的答案仅供参考,不代表的观点
基于实际项目,原创反激开关电源视频教程曝光
为了给想学习电源技术而找不到途径的新人和想更进一步巩固电源技术的在职电源工程师一个学习平台,此次知名资深电源工程师张飞应邀请,花了整整6个月的时间做了一个反激开关电源实际项目,把整个项目的过程以视频的方式记录了下来;一边做项目一边讲解,同时将其录制。
视频内容截屏神秘曝光
PCB版、电源实物曝光

最新评论

扫码打开小程序

扫码安装APP

返回顶部