欢迎您,请 登录 或 注册

当前位置:首页 医疗器械维修 基础 电子 查看内容

仙童资料翻译:十三个步骤教你完整设计正激双路输出开关电源,妥妥的!

2017-7-14 21:31 阅读: 3168 评论: 0 编辑: ygzx1
[导读]步骤一 确定系统对象图1线性电源范围电压倍压电路如图1所示,通常是用于正激式电路,在普通电压输入的情况下。所以最小的线性电压是实际电压的2倍。线性频率fL最大输出功率P0预计功率:这是需要估计这功率转换器的效 ...
步骤一  确定系统对象
图1
线性电源范围
电压倍压电路如图1所示,通常是用于正激式电路,在普通电压输入的情况下。所以最小的线性电压是实际电压的2倍。
线性频率fL
最大输出功率P0
预计功率:这是需要估计这功率转换器的效率去计算出这最大的输入电压。如果无法参考资料,设Eff=0.7~0.75,用于低电压输出的设备;设Eff=0.8~0.85,用于高电压输出的设备。
确定的估计效率,这最大的输出功率是
基于输入最大功率,选择适合的开关芯片。因为MOSFET管的两端电压是转换器的两倍电压,一个额定电压是800V的开关芯片,MOS管就可用于一般的电压输入。开关芯片的种类的额定功率已经在设计软件之内。
步骤二   确定DC电容()和DC电压范围
图2
这最大的DC电压(DC link voltage)波纹是:
Dch是是链电容(DC link capacitor)占空比,如图2,通常值为0.2。
用于倍压器的两个电容要串联,每个电容值是方程(2)中所需电容的2倍。
在已知的最大电压波纹,那么这最小和最大的直流链电压(DC link voltage)是:
步骤三  确定变压器重置方式和最大占空比(Dmax)
正激式开关电源一个固有的限制,在MOSFET关闭的时候,就是变压器必须重置。因此,额外的重置方案应该被纳入。
现有两个重置方案:
a. 辅绕组重置
该方案有益于效能,因为能量被储存在磁化电感中,且能量会释放回输入电路中。
但是额外的绕组会使得变压器的构造更复杂。
图3
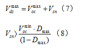
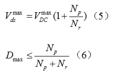
MOSFET管上最大的电压和最大占空比是:
Np和Nr和分别分别是初级(primary winding)匝数(笔者注:初级=主绕组)和辅绕组匝数。
由方程(5)(6)可得,当Dmax逐渐减少,在MOSFET管上最大的电压会跟着减少。然而,减小的Dmax导致在次边的电压应力上升。因此,在一般输入电压下,设定Dmax=0.45和Np和Nr是比较合适的。
在辅边重置电路中,开关芯片内部已经限制占空比低于50%,用于阻止磁饱和现象发生在变压器上。
b. RCD重置
图4画出带有RCD重置的正激式简化电路图。缺点是储存在磁电感中的能量被消耗。在RCD缓冲器中,不像辅绕组重置方案可以返还能量于输入电压中,但是,因为它简单,这方案广泛应用于许多预算有限的开关电源中。
这最大的电压应力和缓冲器电容电压分别为:
因为缓冲器电容电压是固定不变的,而且几乎不受输入电压影响。所以当转换器工作电压在幅度较小的情况下,MOSFET管两端电压可以低些,这是相对于辅绕组重置方案而言的。
对于辅组重置方案而言,RCD重置方案另外一个优点是:这可以把占空比设置到最大,大于50%;而相对地,MOSFET管两端因此减轻了次级的电压应力。
而相对辅边绕组重置方案而言,MOSFET两端电压较其低,从而减轻了次级的电压应力。
步骤四 确定输出电感电流的纹波因素
图5 给出输出电感的电流。
这电流因素定义为:kRF=△I/2I0;是最大输出电流。在大多数实际设计当中,设kRF=0.1~0.2一旦纹波因素确定,那么MOSFET管的rms电流(电流有效值)就如下:
检查MOSFET管最大峰值(Idspeak)是否低于开关芯片的脉冲电流(峰峰值电流)的限制.
步骤五 确定变压器合适的磁芯和最小主绕组匝数,以确防止磁芯饱和
事实上,磁芯最初的选择是受原材料所限制的,因为实在太多可变因素了。其中一种方法去选择合适的磁芯是查阅磁芯制造商的磁芯选择指南。如果没有合适的参考资料,用以下的公式作为一个开始点:
AW是空窗面积,AE是磁芯的横截面积(单位mm2 )。
确定了磁芯后,变压器主绕组最小的匝数是(能避免磁饱和):
步骤六 确定变压器各绕组匝数
首先,确定主边(初级)和反馈控制次边(次级)的匝数比,以作为参考。
Np和Ns1分别是主绕组的匝数和参考输出绕组匝数,Vo1是输出电压,VF1是输出端的二极管管压降。
然后,确定合适的Ns1匝数(取整数),那么Np就取比Np.min大的数值,见公式(14)。
主边电感值是:
是AL-value值(电感系数)在无间隙的情况下(nH/turn2)
n-th输出的匝数是
VO(n)是输出电压,而VF(n)是第n个输出(n-th)的二极管管压降。
下一步是确定VCC(笔者注:VCC是芯片端口名)绕组的匝数。VCC绕组的匝数是由不同重置方案而定。
(a)辅绕组重置:
若选取辅绕组重置方案,则VCC绕组线圈是:
V*CC是标称电压(nominal voltage),VFa是二极管管压降。当取用辅绕组重置方案时,因为VCC与输入电压成比例,所以应该把V*CC设为等于VCC开启电压,以此去避免在正常工作中产生过压保护。
(b)RCD重置:
RCD重置法,VCC绕组线圈数是:
V*CC是标称电压(即额定电压nominal voltage),因为取用RCD重置方案,VCC几乎是一个常量,所以V*CC设为比VCC开启电压高2~3V。
步骤七 基于有效电流(rms current)确定每个变压器的绕线直径
第n个线圈的有效电流值
IO(n)是第n个最大输出电流。
如果用辅绕组重置法,那么辅绕组的有效电流是
当绕线比较

最新评论

扫码打开小程序

扫码安装APP

返回顶部