欢迎您,请 登录 或 注册

当前位置:首页 医疗器械维修 基础 电子 查看内容

(连载07)反转式串联开关电源储能滤波电容的计算

2017-7-14 21:29 阅读: 858 评论: 0 编辑: ygzx1
[导读](连载07)反转式串联开关电源储能滤波电容的计算1-3-3.反转式串联开关电源储能滤波电容的计算反转式串联开关电源储能滤波电容参数的计算,与串联式开关电源储能滤波电容的计算方法基本相同。但要注意,即使是在占空 ...
(连载07)反转式串联开关电源储能滤波电容的计算
1-3-3.反转式串联开关电源储能滤波电容的计算
反转式串联开关电源储能滤波电容参数的计算,与串联式开关电源储能滤波电容的计算方法基本相同。但要注意,即使是在占空比D等于0.5的情况下,滤波电容器充、放电的时间都不相等,滤波电容器充电的时间小于半个工作周期,而电容器放电的时间则大于半个工作周期,但电容器充、放电的电荷是相等的,即电容器充电时的电流大于放电时的电流。这是整流滤波电路的普遍规律。
从图1-8可以看出,在占空比D等于0.5的情况下,电容器充电的时间为3T/8 ,电容充电电流的平均值为3iLm/8或3Io/2 ;而电容器放电的时间为5T/8,电容放电电流的平均值为0.9 Io。因此有:
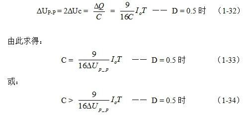
式中ΔQ为电容器充电的电荷,Io流过负载的平均电流,T为工作周期。电容充电时,电容两端的电压由最小值充到最大值(绝对值),相应的电压增量为2ΔUc,由此求得电容器两端的波纹电压ΔUP-P为:
(1-33)和(1-34)式,就是计算反转式串联开关电源储能滤波电容的公式(D = 0.5时)。式中:Io是流过负载电流的平均值,T为开关工作周期,ΔUP-P为滤波输出电压的波纹,或电压纹波。一般波纹电压都是取电压增量的峰-峰值,因此,当D = 0.5时,波纹电压等于电容器充电的电压增量,即:ΔUP-P = 2ΔUc 。
同理,(1-33)和(1-34)式的计算结果,只给出了计算反转式串联开关电源储能滤波电容C的中间值,或平均值,对于极端情况可以在平均值的计算结果上再乘以一个大于1的系数。
当开关K的占空比D小于0.5时,由于流过储能滤波电感L的电流会不连续,电容器放电的时间将远远大于电容器充电的时间,因此,开关电源滤波输出电压的纹波将显著增大。另外,开关电源的负载一般也不是固定的,当负载电流增大的时候,开关电源滤波输出电压的纹波也将会增大。因此,设计开关电源的时候要留有充分的余量,实际应用中最好按(1-33)式计算结果的2倍以上来计算储能滤波电容的参数。

最新评论

扫码打开小程序

扫码安装APP

返回顶部