欢迎您,请 登录 或 注册

当前位置:首页 医疗器械维修 基础 电子 查看内容

牛人再度剖析“二极管”,很难得的资料!

2017-7-14 16:48 阅读: 386 评论: 0 编辑: ygzx1
[导读]功率二极管的正向导通等效电路(1):等效电路(2):说明:二极管正向导通时可用一电压降等效,该电压与温度和所流过的电流有关,温度升高,该电压变小;电流增加,该电压增加。详细的关系曲线可从制造商的手册中获 ...
功率二极管的正向导通等效电路 
(1):等效电路
(2):说明:
二极管正向导通时可用一电压降等效,该电压与温度和所流过的电流有关,温度升高,该电压变小;电流增加,该电压增加。详细的关系曲线可从制造商的手册中获得。
功率二极管的反向截止等效电路
(1):等效电路
(2):说明:
二极管反向截止时可用一电容等效,其容量与所加的反向电压、环境温度等有关,大小可从制造商的手册中获得。
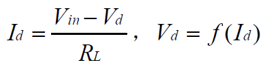
功率二极管的稳态特性总结 
(1):功率二极管稳态时的电流/电压曲线
(2):说明:
二极管正向导通时的稳态工作点:
当Vin >>Vd 时,有:
而Vd对于不同的二极管,其范围为 0.35V~2V。
二极管反向截止时的稳态工作点: Id≈0,Vd = -Vin
(3):稳态特性总结:
-- 是一单向导电器件(无正向阻断能力);
-- 为不可控器件,由其两断电压的极性控制通断,无其它外部控制;
-- 普通二极管的功率容量很大,但频率很低;
-- 开关二极管有三种,其稳态特性和开关特性不同:
-- 快恢复二极管;
-- 超快恢复,软恢复二极管;
-- 萧特基二极管(反向阻断电压降<<200V,无反向恢复问题);
-- 器件的正向电流额定是用它的平均值来标称的;只要实际的电流平均值没有超过其额定值,保证散热没问题,则器件就是安全的;
-- 器件的通态电压呈负温度系数,故不能直接并联使用;
-- 目前的 SiC 功率二极管器件,其反向恢复特性非常好。
功率二极管的开通和关断过程原理 
(1):开通和关断过程实验电路
(2):二极管两端的电压和流过的电流:
(3):开关过程原理:
开通过程[ t1 ~ t2 ]:
--- 在 t1 前,二极管工作于截止状态,t1 时,理想开关关断,二极管的电流开始上升,对反偏二极管的结电容充电,使二极管的电压也开始上升,因PN 结耗尽区的工作机理(详细见半导体物理),使电压的上升比电流的上升要慢很多,电压正偏后,还会有一个几伏-几十伏的正向电压峰值,然后才进入稳定的正向导通状态。
关断过程[ t3 ~ t5 ]:
--- 在 t3 前,二极管工作于导通状态,t3 时,理想开关开通,二极管的电流开始下降,因为少子电荷在正向电流降为零时仍存在,故二极管的电压仍维持正偏,为使其承受反向阻断的能力,必需将这些少子电荷抽掉,t3-t4 是抽走反向电荷的阶段,在t4时刻,二极管可开始反向阻断,t4-t5则是对二极管结电容(耗尽区)进行充电的过程,直到二极管完全承受外部所加的反向电压,进入稳定的反向截止状态。
实际的开通过程较短,分析时一般可忽略。通常可只分析关断过程,器件商会给出反向恢复时间和反向恢复电荷等参数。
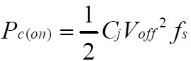
功率二极管的功率损耗公式 
(1):导通损耗:
(2):容性开通损耗:
(3):开关损耗:
开通损耗:通常可忽略
关断损耗:无公式,但存在。
对于低电压输出的开关电源,二极管的最大损耗是导通损耗。
功率二极管的选择原则与步骤 
(1):选择原则
(A):根据电源规格,设计的工作频率等,合理选择:
-- 高电压应用,当选用快恢复和超快恢复二极管;
-- 15V 以下电源中的输出整流二极管应尽可能选萧特基;
(B):选择时,如工作电流较大,则在相同的器件额定参数下,
-- 应尽可能选择正向导通电压小的二极管;
-- 应尽可能选择反响恢复快或软恢复的二极管;
-- 应尽可能选择萧特基二极管。
(2):选择步骤
(A):根据电源规格,计算所选变换器中二极管的稳态参数:
-- 反向阻断电压最大值;
-- 最大的正向电流平均值;
(B):从器件商的DATASHEET 中选择合适的二极管,可多选一些以便实验时比较;
(C):从所选的二极管的其它参数,如正向通态压降,反向恢复时间等等,估算其工作时的最大损耗,与其它元器件的损耗一起,估算变换器的效率;
(D):由实验选择最终的二极管器件。
特别推荐:牛人居然把功率MOS剖析成这样,很难得的资料!

最新评论

扫码打开小程序

扫码安装APP

返回顶部