欢迎您,请 登录 或 注册

当前位置:首页 医疗器械维修 基础 电子 查看内容

温故而知新--完算自激RCC拓扑!

2017-7-14 16:34 阅读: 2227 评论: 0 编辑: ygzx1
[导读]1. 引言自激式反激变换器,通常称为RCC 电路(ringing choke converter),出现在稳压电源IC 之前,可实现最简单的开关稳压器。基于RCC 方式的开关稳压器不需要外部时钟,通过变压器和开关晶体管就可实现振荡功能, ...
1. 引言
自激式反激变换器,通常称为RCC 电路(ringing choke converter),出现在稳压电源IC 之前,可实现最简单的开关稳压器。基于RCC 方式的开关稳压器不需要外部时钟,通过变压器和开关晶体管就可实现振荡功能,只需少数分立器件就可以获得专用芯片才能实现的输出性能,通过良好的设计可获得高效可靠的工作。
RCC 变换器总是工作于边界连续状态(DCM/CCM),采用峰值电流控制模式。由于要维持其边界连续模式,并且原边电流上升斜率受输入电压影响,因此工作频率和占空比均受输入电压和输出电流的控制,在高输入电压和轻载时频率较高。
2. 电路工作原理分析
RCC 方式的本质即为反激变换器,图1 给出实际应用最多的RCC 方式的基本电路图。为简化稳态分析,可做如下近似:
(1)、忽略变压器漏感对主管Q1的集射极电压VCE的影响,实际使用时需要RCD 箝位;
(2)、主电路输出电容足够大,输出绕组电压箝位于输出电压VO;
(3)、稳态时电容C3上的电压保持不变;
(4)、稳态时电阻Rg的作用可以忽略。
下面分析其工作过程
2.1 电路的起动
接通输入电源VIN后,电流ig通过电阻Rg流向开关晶体管Q1的基极,Q1导通,ig称为起动电流。在RCC 方式中,晶体管Q1的集电极IC必然由零开始逐渐增加,因此ig 应尽量小一点。
2.2 开关晶体管处于ON 状态时
一旦Q1进入ON 状态,输入电压VIN将加在变压器的初级绕组NP上。由匝比可知,基极线圈NB上产生的电压为 VB = (VB/ NP )VIN ,该电压与Q1导通极性相同,为正反馈电压,其作用是使开关晶体管进一步迅速导通。因此VB将维持Q1的导通状态,此时基极电流IB是连续的稳定电流:
(忽略RS上的压降,下同)。
此时变压器二次绕组上感应电压为反向电压,整流二极管D2截止,二次绕组中无电流通过。若一次绕组电感为LP ,导通时间为t ,Q1集电极电流IC线性增长,IC=VIN ?t/ LP。
随着IC的增加,当IC ≥ IB? hFE时,晶体管退出饱和状态,VCE随之增大,变压器一次绕组电压下降,反馈绕组感应电压下降,基极电流IB进一步减小,基极电流不足,开关管迅速截止。
2.3 开关晶体管处于OFF 状态时
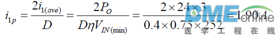
晶体管从导通到截止瞬间,根据磁通连续性定理,磁场的方向和大小都保持不变,因此,要与一次绕组中流经的电流保持同样的安匝数,二次绕组电压反向,使二极管导通,由等式I1P?NP=I2P?NS知导通瞬间电流 I2P=I1P?NP/NS
设输出电压VO,整流二极管压降VD2, 二次绕组电感LS, 则二次绕组电压VS=VO+VD2,二极管电流以VS/LS的速率下降,同时变压器电感中储存的能量供给输出端。
2.4 开关管再次导通
变压器中的能量全部转移到输出端,则整流二极管D2的电流变为0 截止,此瞬间变压器各绕组电压也变为0,启动电阻Rg中部分电流变为开关管基极电流,在正反馈作用下再次导通。
2.5 稳压原理
RCC 电路是一种非固定周期的开关电源,它不是由占空比连续变化的PWM 控制信号
来驱动。当输出电压超过额定值时,开关管提前关断,I1P峰值电流减小,反激变压器储能下降,变换器输出电压降低;当输出电压低于额定时,开关管延迟关断,I1P峰值电流升高,变压器储能增加,变换器输出电压上升,完成输出稳压调整过程。
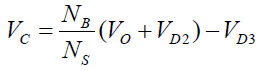
要使晶体管关断,只要使基极的驱动电流不足即可(相对于集电极电流而言),因此,可以用稳压管DZ来分流。DZ的阳极与电容器C3的阴极相连。在Q1 OFF期间,NB线圈通过导通的D3为C3充电,C3的电压变为负电压,DZ的齐纳电压VZ为:VZ =VC +VBE,如果输出电压上升,C3的端电压VC也随输出电压VO成正比上升,于是齐纳二极管DZ导通,驱动电流从它所形成的旁路流过,进而使Q1 OFF。此间NB线圈和NS 线圈的电压值分别与匝数成正比,即:
反之也可改变VC使VO随之改变。因此由VZ、NS/NB即可确定输出电压VO。即输出电压为:
若忽略VBE、VD2 和VD3,则VO与VZ成正比,且输出电压的精度由电压VZ的精度确定。
3. RCC 电路设计方法
RCC 电路的设计包括功率主电路设计和控制电路的设计。下面结合一24V/3A 的电源实例说明其设计步骤。
主要技术参数:
(1)输入电压AC:220V± 10%,频率:50Hz;
(2)输出:电压24V,电流3A;
(3)稳压精度:5%;(4)工作效率>75% 。
3.1 变压器参数计算
设计中按最低输入电压、最大输出电流计算,此时振荡频率最低,取为50k,占空比D=0.4。
最低输入直流电压:
变压器电感及匝数的计算:
NP线圈的电感LP为:
次级线圈电压:
由变压器的伏秒平衡可得:
从而得到匝数比:
由于动作频率较低且输出功率很低,故采用的磁芯为TDK 生产的材质为H3S的EI40。一次线圈匝数:
二次线圈匝数:
基极绕组匝数NB:设最低输入电压VB=6V,
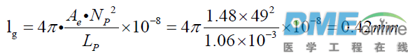
变压器间隙:
实际的间隙纸板厚度为Ig的一半,即为0.21mm。
3.2 稳压电路的设计
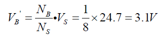
首先,当Q1处于OFF 时,线圈NB的电压VB'
作为电压控制用的齐纳二极管DZ两端的电压VZ为:
由于变压器本身也有压降,因此实际应用的电压值稍高一些的二极管,可取3.3V。
3.3 驱动电路设计
当输入电压最高时,Q1集电极电压最高值VCE为
考虑到变压器漏感引起的浪涌电压,因此采用高速、高压开关晶体管2SC3460。设IC=1.9A时,考虑一定的余裕,hFE取10,必须的基极电流IB约为0.19A。于是基极电阻R

最新评论