欢迎您,请 登录 或 注册

当前位置:首页 医疗器械维修 基础 电子 查看内容

开关电源中RC缓冲电路的设计

2017-7-14 15:18 阅读: 434 评论: 0 编辑: ygzx1
[导读]摘要:开关电源中缓冲电路性能的好坏直接影响到系统的品质。文中给出了一种结构简单、安装方便的RC缓冲电路的设计方法,该方法不仅能降低开关管的关断损耗,而且还能降低变压器的漏感和尖峰电压。0 引言在带变压器的 ...
摘要:开关电源中缓冲电路性能的好坏直接影响到系统的品质。文中给出了一种结构简单、安装方便的RC缓冲电路的设计方法,该方法不仅能降低开关管的关断损耗,而且还能降低变压器的漏感和尖峰电压。
0 引言
在带变压器的开关电源拓扑中,开关管关断时,电压和电流的重叠引起的损耗是开关电源损耗的主要部分,同时,由于电路中存在杂散电感和杂散电容,在功率开关管关断时,电路中也会出现过电压并且产生振荡。假如尖峰电压过高,就会损坏开关管。同时,振荡的存在也会使输出纹波增大。为了降低关断损耗和尖峰电压,需要在开关管两端并联缓冲电路以改善电路的性能。
缓冲电路的主要作用有:一是减少导通或关断损耗;二是降低电压或电流尖峰;三是降低dV/dt或dI/dt。由于MOSFET管的电流下降速度很快,所以它的关断损耗很小。固然MOSFET管依然使用关断缓冲电路,但它的作用不是减少关断损耗,而是降低变压器漏感尖峰电压。本文主要针对MOSFET管的关断缓冲电路来进行讨论。
1 RC缓冲电路设计
在设计RC缓冲电路时,必须熟悉主电路所采用的拓扑结构情况。图1所示是由RC组成的正激变换器的缓冲电路。图中,当Q关断时,集电极电压开始上升到2Vdc,而电容C限制了集电极电压的上升速度,同时减小了上升电压和下降电流的重叠,从而减低了开关管Q的损耗。而在下次开关关断之前,C必须将已经布满的电压2Vdc放完,放电路径为C、Q、R。
假设开关管没带缓冲电路,图1所示的正激变换器的复位绕组和低级绕组匝数相同。这样,当Q关断瞬间,储存在励磁电感和漏感中的能量开释,低级绕组两端电压极性反向,正激变换器的开关管集电极电压迅速上升到2Vdc。同时,励磁电流经二极管D流向复位绕组,最后减小到零,此时Q两端电压下降到Vdc。图2所示是开关管集电极电流和电压波形。可见,开关管不带缓冲电路时,在Q关断时,其两真个漏感电压尖峰很大,产生的关断损耗也很大,严重时很可能会烧坏开关管,因此,必须给开关管加上缓冲电路。
当开关管带缓冲电路时,其集电极电压和电流波形如图3所示(以正激变换器为例)。
在图1中,当Q开始关断时,其电流开始下降,而变压器漏感会阻止这个电流的减小。一部分电流将继续通过将要关断的开关管,另一部分则经RC缓冲电路并对电容C充电,电阻R的大小与充电电流有关。
Ic的一部分流进电容C,可减缓集电极电压的上升。通过选取足够大的C,可以减少集电极的上升电压与下降电流的重叠部分,从而明显降低开关管的关断损耗,同时还可以抑制集电极漏感尖峰电压。
图3中的A-C阶段为开关管关断阶段,C-D为开关管导通阶段。在开关管关断前,电容C两端电压为零。在关断时刻(B时刻),C会减缓集电极电压的上升速度,但同时也被充电到2Vdc(在忽略该时刻的漏感尖峰电压的情况下)。
电容C的大小不仅影响集电极电压的上升速度,而且决定了电阻R上的能量损耗。在Q关断瞬间,C上的电压为2Vdc,它储存的能量为0.5C(2Vdc)2焦耳。假如该能量全部消耗在R上,则每周期内消耗在R上的能量为:
对限制集电极上升电压来说,C应该越大越好;但从系统效率出发,C越大,损耗越大,效率越低。因此,必须选择合适的C,使其既能达到一定的减缓集电极上升电压速度的作用,又不至于使系统损耗过大而使效率过低。
   在图3中,由于在下一个关断开始时刻(D时刻)必须保证C两端没有电压,所以,在B时刻到D时刻之间的某时间段内,C必须放电。实际上,电容C在C-D这段时间内,也可以通过电阻R经Q和R构成的放电回路进行放电。因此,在选择了一个足够大的C后,R应使C在最小导通时间tON内放电至所充电荷的5%以下,这样则有:
式(1)表明R上的能量损耗是和C成正比的,因而必须选择合适的C,这样,如何选择C就成了设计RC缓冲电路的关键,下面先容一种比较实用的选择电容C的方法。
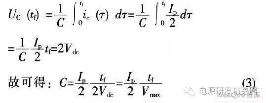
事实上,当Q开始关断时,假设最初的峰值电流Ip的一半流过C,另一半仍然流过逐渐关断的Q集电极,同时假设变压器中的漏感保持总电流仍然为Ip。那么,通过选择合适的电容C,以使开关管集电极电压在时间tf内上升到2Vdc(其中tf为集电极电流从初始值下降到零的时间,可以从开关管数据手册上查询),则有:
因此,从式(1)和式(3)便能计算出电容C的大小。在确定了C后,而最小导通时间已知,这样,通过式(2)就可以得到电阻R的大小。
2 带RC缓冲的正激变换器主电路设计
2.1 电路设计
图4所示是一个带有RC缓冲电路的正激变换器主电路。该主电路参数为:Np=Nr=43匝。Ns=32匝,开关频率f=70 kHz,输进电压范围为直流48~96 V,输出为直流12 V和直流0.5 A。
开关管Q为MOSFET,型号为IRF830,其tf一般为30 ns。
Dl、D2、D3为快恢复二极管,其tf很小(通常tf=30 ns)。
本设计的输出功率P0=V0I0=6 W,假设变换器的效率为80%,每一路RC缓冲电路所损耗的功率占输出功率的1%。这里取Vdc=48 V。
2.2 实验分析
下面分两种情况对该设计进行实验分析,一是低级绕组有缓冲,次级无缓冲;二是低级无缓冲,次级有缓冲。
(1)低级绕组有缓冲,次级无缓冲
该实验丈量的是开关管Q两真个漏源电压,实验分以下两种情况:
第一种情况是RS1=1.5 kΩ,CS1不定,输进直流电压Vdc为48 V。
实在验结果为:在RS1不变的情况下,CSl越大,固然开关管Q的漏感尖峰电压无明显降低,但它的漏源电压变得平缓了,这说明在低级开关管的RC缓冲电路中,CSl应该选择比较小的值。
第二种情况是CSl=33 pF,RS1不定,输进直流电压Vdc为48 V。其结果是:当CS1不变时,RS1越大,开关管Q的漏感尖峰电压越大(增幅比较小)。
可见,RC缓冲电路中,参数R的大小对降低漏感尖峰有很大的影响。在选定一个合适的C,同时满足式(2)时,R应该选择比较小的值。
(2)次级绕组有缓冲,低级无缓冲
本实验以D2、D3的阴极作为公共端来丈量快恢复二极管的端压,其结果是,当R不变时,C越大,二极管两真个漏感尖峰越小。同时理论上,假如C为无穷大时,二极管两真个电压中就没有漏感尖峰。而在实际中,只需让二极管两端电压的漏感尖峰电压在其端压峰值的30%以内就可以满足要求了,这样同时本钱也不会太高。
2.3 设计参数的确定
通过实验分析可见,在次级快恢复二极管的RC缓冲电路中,当选择了适当大小的电容C时,在满足式(2)的情况下,电阻R应该选择得越小越好。
终极经过实际调试,本设计选择的RC缓冲电路参数为:
低级:RS1=200,CSl=100 pF
次级:RS2=RS3=5l,CS2=CS3=1000 pF
本设计的低级开关管的RC缓冲电路中的C值固然选得稍微比计算值大一些,但损耗也不是很大,因此还是可以接受的。相对低级而言,次级快恢复二极管的RC缓冲电路中的C值就选得比计算值大得多,系统的损耗必然增大。但是,并联在快恢复二极管两真个RC缓冲电路主要是为了改善系统输出性能,因此选择比较大的C值固然会使系统的整体效率降低,但二极管两真个漏感尖峰就减小了很多,而且输出电压的纹波也可以达到指定要求。
3 结束语
根据以上给出的公式,可以很好而且很方便地选择出合适的RC缓冲电路。但是在工程应用中,应该根据系统设计的性能指标,通过实际调试才能得到真正合适的参数。有时候,为了达到系统的性能指标,牺牲一定的效率也是必要的。总之,在设计RC缓冲电路参数时,必须综合考虑系统性能和效率,终极选择合适的RC参数。


最新评论

扫码打开小程序

扫码安装APP

返回顶部