欢迎您,请 登录 或 注册

当前位置:首页 医疗器械维修 基础 电子 查看内容

LLC谐振回路电流(tankcurrent)分析与测量

2017-7-14 15:18 阅读: 801 评论: 0 编辑: ygzx1
[导读]LLC是前端DC-DC转换器的最佳备选项,它可以满足宽输入电压范围和高效率要求。UCC25600专为使用谐振拓扑结构的DC/DC应用而设计,特别是LLC半桥谐振转换器。这种高度集成的控制器只有8支引脚,并使用小尺寸封装,它可 ...
LLC是前端DC-DC转换器的最佳备选项,它可以满足宽输入电压范围和高效率要求。UCC25600专为使用谐振拓扑结构的DC/DC应用而设计,特别是LLC半桥谐振转换器。这种高度集成的控制器只有8支引脚,并使用小尺寸封装,它可以极大简化系统设计和布局,同时还可以缩短产品上市时间【2】。因此,我们把LLC半桥谐振转换器作为一个例子,来分析谐振回路电流。谐振回路电流分析图1为一个LLC谐振半桥转换器电路。S1和S2为一次MOSFET。CS1和CS2为MOSFET漏极和源极之间的寄生电容器。DS1和DS2为MOSFET的体二极管。Lr和Cr为谐振电感器和谐振电容器。Lm为变压器的磁电感器。n为一次和二次线圈的匝数比二次整流器包含D1和D2。CO为输出电容器。RL为负载。Vin为输入电压,而VO则为输出电压。图 1 LLC谐振半桥转换器LLC谐振转换器共有2个谐振频率:一个由Lr和Cr产生,如方程式1所示;另一个由Lr、Lm和Cr产生,如方程式2所示。一般而言,按照设计,正常输入电压时LLC工作在fr频率下,从而实现最佳效率。开关频率大于fr。一次MOSFET的ZVS可以实现,但是二次二极管的ZCS无法实现;它被称作LC串联谐振。当开关频率低于fr但高于fm时,可以同时实现ZVS和ZCS。由于某个时间内会出现Lr、Lm和Cr谐振,因此它被称作LLC串联谐振。在参考文献【3】中,大部分负载范围的开关频率均低于fr,因此本应用报告会对频率低于fr的工作情况进行分析。图2为fm<fs<fr的波形,半周期被划分为四部分。考虑到t2至t3的电压峰值,该周期情况如下图所示。所有方程式表明了功率参数的关系。图 2 fm<fs<fr的波形</f</f</f</f
<f<f<f<f在t2下,高侧MOSFET S1被关闭,但低侧MOSFET仍处于关闭状态,因此t2为死区时间之初。在此周期,谐振回路电流无法流经MOSFET;它对CS1充电,然后对CS2放电。CS1和CS2参与谐振。CS1和CS2相等,并且都很小,因此该周期非常短。ZVS迅速达到。在现实系统中,Cr>>CS1,因此在该周期内,VCr几乎不变;可以把它看作是一个DC电压源。图3显示了一个简化版电路。图 3 t2<t<t3的简化版电路所有参数如方程式3和4所示,谐振频率等于方程式5。由于Ceq,fr3远远大于fr1和fr2。其中,我们对该周期内谐振回路电流值的变化进行研究,因此要求一个方程式来描述时域谐振回路电流。该周期的实际开始时间为t2,结束时间为t3。为了简化计算过程,假设周期开始时间为0,则结束时间为ta。时间为0时,VCeq的电压为,谐振回路电流为ILr,因此。时间ta时,VCeq的电压为,因此。根据方程式3,VCeq(t)为:其中,p1和p2为常量。我们定义,因此方程式6可以得到简化。iLr(t)表示为方程式8。分别代入方程式7和8中,常量系数p1和p2推导得:放入方程式6。根据方程式11,可推导出sin(ωrmt a) 和cos(ωrmt a)。iLr(ta)如方程式12所示。由于推导得到所有参数,因此可得到iLr(ta)的确切值。 </t<t</f</f</f</f
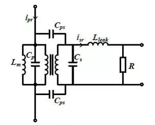
本周期内谐振回路电流的变化被称作?iLr,其如下所示:一般而言,谐振回路电流分析常常会忽略?iLr,因为它的值小于谐振回路电流的峰值,并且这种过渡周期远短于开关周期。但是,这种短过渡周期会给测量电路带来噪声。前述方程式可以验证测量结果是否为真。当为假时,应改进测量电路。谐振回路电流测量方法要求电流波形时,可使用三种方法来测量电流。小容限功率电阻电流变换器(CT)直接通过电流探针来测量谐振回路电流第一种方法是小容限功率电阻,其与谐振回路中的其它组件串联。这种电阻必须拥有高分辨率和良好的温度性能。正常情况下,谐振回路通过一个端子连接接地,这样可以减少测量的共模噪声。另外,它还是一种测量谐振回路电流的简单方法。但是,它会增加功耗,特别是在强电流条件下。另一方面,它改变了谐振参数,并使其偏离初始设计。同时,由于要求高性能,因此它的成本价格也很高。图 4 电流变换器等效模型第二种方法是电流变换器(CT),其一次侧与谐振回路串联。相比功率电阻(第一种方法),这种方法的电阻较低,并且其功耗也低于功率电阻方法。另外,相比谐振回路的Lr和Lm,CT的磁电感小到可以忽略不计。但是,由于许多寄生参数原因,CT并非是一种最佳解决方案。图4显示了CT的等效模型。由于二次漏电感远大于一次漏电感,因此漏电感设置在二次侧。图4中:Cps为一次线圈和二次线圈之间的寄生电容。Cp为一次侧的寄生电容。Cs为二次侧的寄生电容。Lm为CT的磁电感。R为采样电阻。当使用硬开关开启或者关闭MOSFET时,电路状态立刻剧烈变化。这时,产生大量的开关噪声。这种噪声通过Cps耦合到CT的二次侧。另外,噪声还流经Cp和Cs。Lm和Lleak也受到影响。如果使用通用电压探针来测量R的电压,则通常会出现一个高电压峰值;但是,如果使用差分电压探针,则Cps耦合的共模噪声被消除,并且仅剩下差模噪声。电压峰值得到了有效降低。然而,差模电压探针测量的波形仍非真正的电流波形。第三种方法是直接使用电流探针测量谐振回路电流。正常情况下,电流探针拥有较高的带宽,足以进行电源系统检测。例如,Tektronix设计的TCP202便是一种DC耦合电流探针,其拥有高达50MHz的DC带宽。LLC谐振回路电流频率为100kHz。电流探针具有较高的性能,可以显示近似真实的电流波形。只需要一条短线,把它与回路中的其它组件串联在一起,这样便组成了一个最低成本的电流波形观察方法。但是,电流探针测量的电流信号不能用于其它目的,例如:回路控制、保护电路等。UCC25600 300W EVM演示了前面的分析。图5中,使用不同方法对谐振回路电流进行测量。CH2和CH3均由CT测量,差别是,“差分”电压探针用于对CH2中CT输出端的电压信号进行采样,而“共模”电压探针则用于对CH3中CT输出端的电压信号进行采样。CH4通过电流探针直接测量。图5(b)和5(c)中,单独测量CH2和CH3,但在图5(d)中,同时对它们进行测量。在图5(a)中,相比CH4,可在CH3中看到大电流脉冲,其为严重噪声。在图5(b)和图5(c)中,相比CH3,CH2的电流脉冲得到极大降低,因为消除了共模噪声;但是,差模噪声仍然存在,因此CH2的电流脉冲大于CH4。在图5(d)中,CH2和CH3同时被测量,因为在内部示波器,所有示波器探针接地均连接。CH3的共模噪声会影响CH2。图5(d)中CH2和CH3的波形相同,其表明在图5(b)和图5(c)中,CH3和CH2的共模噪声结果相同。图5 使用不同方法对谐振回路电流进行测量根据实验结果,前述分析得到了证实。在低电流条件下使用功率电阻方法,而采样电流信号可用于实现其它功能。在高电流条件下使用CT,采样电流信号可用于实现其它功能。如果给CT添加补偿和滤波器,则效果更好。在所有情况下都可以使用电流探针,但其采样电流信号不可以用于其它功能。请注意:推荐使用小范围电流探针来测量低电流。同样,推荐使用大范围电流探针来测量高电流。实验为了验证第2小节的分析结果,我们使用TI的LLC谐振半桥转换器300W评估模件来获得7组数据。所有参数均经过设计和优化,Lr = 55 μH、Lm = 280 μH、Cr = 24 nF、Cs1 = 340 pF,并且必须测量出Vin, VCr和ILr。图6显示了谐振回路电流、DS电压和VCr(ZVS期间波形),其中,CH2为谐振回路电流波形。在图6(a)中,CH1为DS电压波形。在图6(b)中,CH1为Cr波形的电压。通过电流探针测量谐振回路电流,并使用差分电压探针来测量DS电压和Cr电压。表1列出了所有数据:ILr1为ZVS之初ILr的值,ILr2为ZVS结束时ILr的值,而ΔIcal则为通过方程式13到方程20计算的结果。由于这些方程式都太复杂,因此我们使用Mathcad来简化计算。对比ΔI和ΔIcal我们可以知道,ΔIcal接近于ΔI,这表明第2小节中参考文献【3】的分析是正确和合理的。ΔIcal和ΔI的差值由寄生参数和测量误差所造成。图 6 谐振回路电流、DS电压及ZVS期间VCr波形表 1 参数值结论LLC可以提供宽输入电压范围的高效率。我们分析了LLC的谐振回路电流,并通过大量方程式说明了所有电能参数的关系。文章讨论了三种电流测量方法及其应用、优点和缺点。实验结果证明了分析的正确性。参考文献【1】《宽负载范围LLC谐振转换器的高效率优化》,作者:Ya Liu。美国弗吉尼亚州布莱克斯堡:2007年弗吉尼亚理工学院及州立大学硕士学位论文。【2】《8引脚高性能谐振模式控制器》。2008年9月《TI UCC25600产品说明书》(SLUS846B),2011年7月修订。【3】LLC谐振半桥转换器300W评估模块。2009年4月《TI 用户指南》(SLUU361)。 


最新评论

扫码打开小程序

扫码安装APP

返回顶部