欢迎您,请 登录 或 注册

当前位置:首页 医疗器械维修 基础 电子 查看内容

LLC谐振变换器的设计--仙童版本

2017-7-14 15:17 阅读: 2442 评论: 0 编辑: ygzx1
[导读]摘要近年 LCC 谐振变换器备受关注,因为它优于常规串联谐振变换器和并联谐振变换器:在负载和输入变化较大时,频率变化仍很小,且全负载范围内切换可实现零电压转换(ZVS)。本文介绍了LLC 型谐振变换器的分析方法, ...
摘要
近年 LCC 谐振变换器备受关注,因为它优于常规串联谐振变换器和并联谐振变换器:在负载和输入变化较大时,频率变化仍很小,且全负载范围内切换可实现零电压转换(ZVS)。本文介绍了LLC 型谐振变换器的分析方法,回顾了LLC 型谐振变换器的实际设计要素。其中包括设计变压器和选择元器件。采用一设计实例,逐步说明设计流程,有助于工程师更加轻松地设计LLC 谐振器。
获取本文原版文档LLC谐振变换器的设计--仙童版本.pdf方法如下:
关注本公众号回复"LLC"免费获取
引言
功率变换器设计中,对增大功率密度,缩小设计尺寸的要求越来越高,迫切需要设计师提高开关频率。采用高频工作将大大降低无源器件的尺寸,如变压器和滤波器。但存在的开关损耗却对高频工作带来不利影响。为减少开关损耗,使高频工作正常,故提出谐振切换技术 。这些技术按正弦波处理功率,并且开关器件可以很方便地软换向。因此,开关损耗和噪声可大幅度减少。常规谐振器使用串联的电感电容作为谐振网络。负载连接有两种基本结构,串联和并联。
对于串联谐振变换器(SRC), 整流负载网络与一个LC 谐振网络串联,如图1 所示。从这个结构看来,谐振网络与负载作为一个分压器。通过改变驱动电压Vd的频率,改变谐振网络的阻抗。输入电压将分配到这部分阻抗和反射负载上。因为,它是一个分压器,SRC 直流增益始终小于1。在小负载条件下,负载阻抗相对于与谐振网络的阻抗非常大;全部输入电压落在负载上。这使得人们很难在小负载条件下调节输出。理论上,在没有负载的情况下调节输出,频率会变为无限大。
对于并联谐振变换器,整流负载网络与谐振电容是并联的,如图所示。由于负载同谐振网络是并联的,因此不可避免地存在着大量的循环电流。这使得人们难以在大功率场合下使用并联谐振电路。
为了解决传统谐振变换器的局限性,提出了LLC 谐振变换器。对比常规谐振器,LLC 型谐振变换器具有许多优点。首先,它可以在输入和负载大范围变化的情况下调节输出,同时开关频率变化相对很小。第二,它可以在整个运行范围内,实现零电压切换(ZVS)。最后,所有寄生元件,包括所有半导体器件的结电容和变压器的漏磁电感和激磁电感,都是用来实现ZVS 的。
本文讲述了一种半桥LLC 谐振器的分析和设计要素。利用基波近似法分析了电压和电流波形,并得到了系统增益方程。选择一个输出为120W/24V 直流/直流转换器的设计作为典型的例子,来说明设计流程。
工作原理和基波近似
图3 为半桥LLC 谐振变换器简化示意图,图4 是它的典型波形。图3 中,Lm 是变压器励磁电感,Llkp 和Llks 分别表示变压器初级和次级的漏感。LLC 谐振变换器的工作原理和传统LC 串联谐振变换器是类似的。唯一不同的是,激磁电感相对较小,因此Lm+Llkp 和Cr 之间的谐振会影响变换器的工作。由于激磁电感较小,存在着相当大的磁化电流(Im),如图4 示。
一般来说,LLC 谐振拓扑包括三部分,如图3 所示;方波发生器,谐振网络和整流网络。
- 方波发生器,通过每次切换都以50%占空比交替驱动开关Q1 和Q2 产生方波电压Vd。方波发生器级可设计成一个全桥或半桥型。
- 谐振网络包括一个电容器,变压器的漏磁电感和激磁电感。谐振网络可以滤掉高次谐波电流。因此,即使方波电压应用于谐振网络,基本上只有正弦电流允许流经谐振网络。电流(Ip)滞后于施加于谐振网络的电压(也就是说,方波电压(Vd)的基波施加到了半桥上的图腾),这允许零电压开启MOSFET。从图4可以看到,当电流流经反向并联二极管时,MOSFET开启电压为零。
- 整流网络通过整流二极管和电容器调整交流电,输出直流电压。整流网络可设计成一个带有电容输出滤波器的全桥或中心抽头结构。
谐振网络的滤波功能可以让我们用经典的基波近似原理获得谐振器的电压增益,假定只有输入到谐振网络的方波电压的基波有助于功率传递到输出。由于次级整流电路起到一个阻抗变压器的作用,等效负载电阻与实际负载电阻是不同的。图5 显示了如何得到等效负载电阻。初级电路被替换成一个正弦电流源Iac和方波电压VRI,作为整流器输入电压。因为Iac的平均值是输出电流Io,可得到:
利用等效负载阻抗,得到AC 等效电路,如图6 所示,VdF和VROF分别表示驱动电压Vd 和反射输出电压VRO(nVRI)的基波。
利用等式 (5) 的等效负载阻抗,得到LLC 谐振变换器特性。利用图6 示AC 等效电路,计算电压增益M
从等式(6)可以看出,电路有两个谐振频率。一个由Lr 和Cr确定,另一个由Lp 和Cr 决定。在实际变压器中,分别利用次级线圈开路和短路在初级测得Lp 和Lr。
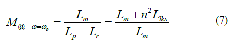
等式(6)需要关注的是,在谐振频率(ωo)处,不管负载怎么变化增益都是固定的。
不考虑变压器次级的漏磁电感,等式(7)的增益变成1。在以前的研究中,变压器次级的漏磁电感常被忽略,以简化增益方程。然而,可以看到,如果忽略变压器次级漏磁电感,计算的增益会存在相当大的误差,导致设计结果不正确。
等式(7)中谐振频率(ωo)下的增益也可以简化成用K 表示的等式
尽管增益表示成等式(8),当操作一个实际的变压器时,增益最好表示成Lp 和Lr 的函数。因为这两个量是很容易测量的。把Lp 和Lr 用K 表示,我们可以得到:

最新评论