|
作为一名专业的电源设计及测试工程师,我们每天都在使用各种不同的数字示波器进行相关电气信号量的量测。 与这些示波器相配的探头种类也非常多,包括无源探头(包括高压探头,传输线探头)、有源探头(包括有源单端探头、有源差分探头等),电流探头、光探头等。每种探头各有其优缺点,因而各有其适用的场合。其中,有源探头因具有带宽高,输入电容小,地环路小等优点从而被广泛使用在高速数字量测领域,但有源探头的价位高,动态范围小,静电敏感,校准麻烦,因此,每个工程师使用示波器的入门级探头通常是无源探头。最常见的500Mhz的无源电压探头适用于一般的电路测量和快速诊断,可以满足大多数的低速数字信号、TV、电源和其它的一些典型的示波器应用。 本文我们将集中讨论无源电压探头的模型和参数设定以及使用校准原理。 10倍无源探头的模型以及输入负载设定 图1. 探头原理图
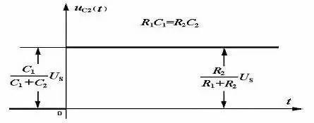
图1是工程师常用的10倍无源电压探头的原理图,其中,Rp (9 MΩ)和Cp位于探头尖端内,Rp为探头输入阻抗, Cp为探头输入电容, R1 (1 MΩ)表示示波器的输入阻抗,C1表示示波器的输入电容和同轴电缆等效电容以及探头补偿箱电容的组合值。为了精确地测量,两个RC时间常量(RpCp和R1C1)必须相等;任何不平衡都会带来测量波形的失真,从来引起使一些参数如上升时间、幅度的测量结果不准确。因此,在测量前需要校准示波器的探头的工作以保证测量结果的准确性。 从探头的信号模型我们可以分析, 对于信号的DC量测,输入容性Cp和C1等效为开路。信号通过Rp和R1进行分压,最终示波器的输入为: Vout=[R1/Rp+R1]*Vin=1/10* Vin 示波器输入信号衰减为待测输入信号的1/10。对于较高频率的输入信号,容抗对于信号的影响会大于阻抗。例如,一个标准的1MΩ~10pF的无源电压探头,输入信号的频率为100MHz,此时,探头输入容抗为Xc(Cp)=1/(2×π×f×C)=159Ω,容抗远远小于9MΩ的探头阻抗,信号电流更多的会通过输入电容提供的低阻回路,9MΩ阻抗的高阻回路等效为旁路。也可以理解为159 Ω和9MΩ的并联之后等效阻抗为159 Ω。此时,实际输入到示波器的信号幅度(AC/高频)是由探头的输入电容以及回路总电容的比值决定,等效为: Vout=[Cp/Cp+C1]*Vin 一般来说,无源探头的电缆存在8-10pF/foot的容性负载(1 foot 英尺=12 inches 英寸=0.3048 metre 米),1.5nS/foot的上升时间。 对于一个6feet的电缆就存在60pF容性,加上一般示波器的20pF的输入电容以及一些杂散,大致为90pF左右。根据1:10的分压,探头的输入电容应该为10pF左右才能满足 Vout/Vin=[10/10+90]=1/10 输入衰减10倍的特性。考虑到探头和电缆容性的一些误差,需要使用探头补偿电容箱来进行一个回路补偿,由于误差,无源电压探头的输入容性一般为8~12pF之间。目前主流的10倍无源电压探头的输入负载模型一般都是输入电容8~12pF,输入电阻9M欧。 无源电压探头的校准 讨论到这里,对于无源探头的输入模型大家应该有了一定的了解,那为什么为了精确地测量,两个RC时间常量(RpCp和R1C1)必须相等,测量前需要校准呢?我们可以再进一步简化探头模型为一个更简单的阻容分压电路如下:  让我们来进行一个简单的推导计算: 1.计算初始值uC2(0+)由于电容电压发生跃变,要根据电荷守恒定律和KVL来确定  2.计算稳态uC2(¥)电容开路时,按照电阻分压公式得到  3.计算时间常数 
4.用三要素公式得到电容电压uC2(t)  我们可以看到,波形有3种情况: 1.完全补偿 
2.过补偿 
3.欠补偿 

以下图示给出了欠补偿、过补偿和合理补偿三种情况下探头产生的波形。 
探头欠补偿波形图 
探头过补偿说明图 探头正常补偿说明图
所以, 在获得一台可以工作的示波器和探头后应该要做的第一项工作是校准探头以保证其内部RC时间常量匹配。这时需要将探头连接到示波器的探头补偿输出。然后使用非磁性调节工具调节补偿箱中的调节螺螺丝完成校准一直观察到平坦的波形响应。不要太频繁校准,因为没有必要。 上文于无源电压探头模型的参数设定以及校准的原理就介绍到这里,而对于示波器和探头以及数字测量在业内有很多的经典理论以及应用原则,比如信号的滚降特性,DSP信号滤波的处理。如何确保最真实的还原待测信号,大家可以参阅更多专业的书籍。 希望本文的介绍可以让硬件工程师们更深入和全面的了解我们的测量工具,真正做到还原真实信号。 探头的共有特性概述数字示波器是电子工程师使用最广泛的一种测试测量仪器,从测试系统的角度来看,数字示波器系统包括主机和探头两主要组成部分,示波器探头与主机的关系就好比汽车与轮子,汽车车身通过轮子才能接触到地面,才能发挥行驶的功能,示波器主机也是通过探头才能接触到信号,才能执行信号采集与测试的功能。缺少轮子的汽车就是一堆废铁,没有探头的示波器也只能是个摆设。示波器探头不仅仅是把测试信号送进示波器输入端的一根导线,而且是仪器系统的重要组成部分。根据特性和应用场合的不同,探头可以分成很多类型号,以适应各种不同信号测试的需要。其中一类称为有源探头,其内部包含有源电子元件(主要是晶体管)可以提供信号放大能力,不含有源器件的探头称为无源探头,其中只包含无源器件如电阻电容等。这类探头通常只能对信号进行衰减。我们可以继续将有源和无源探头分成更专门的类别型号,我将通过系列文章来介绍每种探头的工作原理、应用场合和使用注意事项。 首先是阐述所有类型探头共有的一些特性。 探头屏蔽 工程师赋予示波器探头的一个重要使命就是确保只有希望观测的信号才能通过它显示在示波器屏幕上,如果我们仅仅使用一根导线来代替探头,那它的作用就好象是一根天线,可以从无线广播,移动电话、电机、50或60Hz的电源的交流声甚至当地业余无线电爱好者那里接收到很多不希望的干扰信号,这些噪声甚至还能反向注入到被测电路中使信号发生畸变,所以我们首先需要的是能够提供屏蔽功能的电缆,良好设计的示波器探头的屏蔽电缆通过探头尖端的接地线和被测电路连接,从而保证了很好的噪声抑制性能。 探头带宽 大家都了解示波器通道带宽的定义,输入正弦波信号幅度被降低到-3dB(0.707倍)时对应的频率即对应示波器模拟带宽这个指标,决定这个指标的是前端放大器件的性能。同样探头也具有有限的模拟带宽。如果把示波器作为一个系统来考察,其总体带宽由主机带宽和探头带宽共同决定,更专业的数学公式表明了这种关联性:  图1 探头带宽相关公式 以上公式中,Tr(display)表示实际测量到的信号上升时间,等于示波器上升时间、探头上升时间和源信号上升时间的正交和。而系统的上升时间与带宽的乘积为一常数,对系统函数为1阶的模型而言,该常数经验值为0.35,对于更高阶的模型该常数介于0.35 ~ 0.5之间。 我们可以推导出这四者带宽之间的关系。从以上公式我们还可以推导出:如果我们使用一台100MHz的示波器和一个100MHz的探头,那么它们组成的系统带宽就小于100MHz,内在的因素是因为探头的电容和示波器的输入电容相加,更大的电容导致更小的系统带宽,加大了显示在示波器屏幕上信号的上升时间tr。 继续讨论: tr(ns)=350/BW(MHz) 如果示波器和探头各自均为100MHz带宽,其上升时间均为tr=3.5ns 。则有效系统上升时间就由下式给出: trsystem=sqr(t2rscope+t2rprobe) =sqr(3.52+3.52)ns =sqr(24.5)2ns =4.95ns 根据4.95ns的系统上升时间求得,系统带宽为350/4.95MHz=70.7MHz。 从上述的计算可以看出,探头带宽比示波器主机带宽越高,整个系统带宽就越接近主机带宽, 示波器探头负载效应 当我们进行信号测量时,我们常常以为测得的电压和电路中未连入示波器时是完全一样的,实际则不然。打个比方,我们用温度计去度量火焰的温度,温度计未靠近时火焰温度50摄氏度,靠近后温度计要从火焰中汲取热量,自身温度升高而火焰温度降低为49度,温度计反映出来的温度值就为49度,很明显有1度的测量误差,这个误差正是因为引入测量系统后带来的。 实际上,每个示波器探头都有其输入阻抗,这个阻抗是特性阻抗,不仅是因为电阻造成的,还包含了电容和电感等因素。由于探头引入的额外负载,所以探头接入被测电路后,会从信号中汲取能量,实际上就会影响被测电路,最恶劣的后果就是电路本来是正常工作的,引入示波器探头后却不正常了,工程师就容易得出与事实相反的结论。因此我们分析测量结果时必须考虑探头的负载特性以及测试电路的阻抗匹配性。 有些示波器探头里没有串联的电阻,这类探头主要就由一段电缆和一个测试头构成,因此,在其有用带宽之内,探头对信号没有衰减作用。这类探头称为1:1或X1探头。由于这类探头在测试点处将其自身的电容(包括电缆的电容)与示波器的输入阻抗连在了一起,所以这种探头具有负载效应。见图2。  图2 X1探头结构模型 当信号频率升高时,探头的容性负载效应就变得更加显著。由于电缆的类型和长度的不同以及探头本身构造等原因,1:1探头的输入电容通常可以从大约35pF到100pF以上,这等于给被测电路施加了一个低阻抗负载,具有47pF输入电容1:1探头在20MHz之下的电抗仅为169W,这就使得这个探头在此频率无法使用。 我们可以在探头中增加一个和示波器输入阻抗相串联的阻抗,用这种办法就可以减小探头的负载效应。然而,这就意味着输入电压不能完全加到示波器的输入端,因为我们现在已经引入了一个电阻分压结构。 图3给出了电阻分压的探头等效电路,Rp和Rs构成了一个10:1的分压器,Rs为示波器的输入阻抗。调节补偿电容C3使得探头和示波器通道RC乘积相匹配,这样就能保证在探头的尖端获得正确的频率响应曲线,并且这种探头的频率响应比1:1探头频率响应要宽得多。  图3 10:1无源探头结构模型 示波器探头最大输入电压 多数通用10:1探头的构造使这些探头适合于最大输入电压为峰值300V或400V的情况下使用,所以这些探头可以用于信号电平高达数百伏的广泛的应用场合,对于需要测量更高电压的场面合,我们推荐使用电压额定值更高的100:1或1000:1衰减探头。探头自动识别能力 现代示波器探头都支持编码能力,使得示波器主机能够识别与它相连接的探头类型和特性参数。 从而使示波器能够自动重构所有幅度测量结果以避免发生泥淆。而如果使用不带这种识别系统的探头,则用户就不得不自己为所有波形显示和测量结果重新定义以便反映出探头的衰减量。 探头接地引线 探头接地引线实质可以等效为电感效应,接地引线电感与探头及示波器的输入电容形成串联谐振电路。而探头的输入电阻则在谐振电路中引入阻尼。电感效应会造成阻抗不匹配,而且是带宽越大影响就越大。等效电感的大小与接地线长度有关,其越长电感效应就越大,对波形的破坏效应就是会产生脉冲信号的振荡、过冲等信号完整性问题带有接地引线电感的示波器探头等效电路及效应如下图4。  图4 探头接地引线电感效应 举例来说: 从以上分析可以清楚的看到接地引线电感对测量结果的影响,所以一定要使探头的接地引线尽可能的短,特别是在测高频和快速上升沿的信号时尤应注意。 探头安全接地 为保证操作者在使用示波器时的人身安全,多数示波器都通过电源线与安全地线相连。被测信号有可能和地线具有相同的参考电位,但并非必然如此,因此在连接探头的地线时,一定要注意不要因此而把被测系统的某一部分短路。另一方面,既使被测系统和示波器的地线具有相同的参考电位,这也并不意味着可以用安全地线来作信号返回通路,这是由于安全地线连接走线很长,具有很大的引线电感,因此不适合作信号返回通路。这时一定要用探头的接地引线来作为信号的参考地线。 示波器探头类型 以上内容探讨了通用示波器探头的基本特性,在接下来的探头系列文章中我将给大家介绍每种类型探头的具体工作原理、应用场合和使用注意事项,也感谢各位的持续关注。 关于差分探头 上文讲到,探头从总体上可分为无源探头和有源探头两大类型,而宽带宽示波器和有源探头的用户还需要在单端探头和差分探头之间做出选择。单端探头测量的是信号对“地”的参考电压,而测量两路信号的相对电压差(与地平面无关),一般来说这两路信号是相位相差180度的正反电压,则需要使用差分探头。本质上,单端探头也是一种特殊的差分探头,因为测量的是信号与地平面的相对电势差,所以理论上用户也可以只买差分探头来覆盖所有差分信号和单端信号的测量需求,但多方面的因素又制约了这种可能性,与单端探头相比,差分探头价格更贵,使用也较不方面,需要额外的电源。 a.抗干扰能力强,因为两根差分走线之间的耦合很好,当外界存在噪声干扰时,几乎是同时被耦合到两条线上,而接收端关心的只是两信号的差值,所以外界的共模噪声可以被最大程度抵消。 b.能有效抑制EMI,同样的道理,由于两根信号的极性相反,他们对外辐射的电磁场可以相互抵消,耦合的越紧密,泄放到外界的电磁能量越少。 c.时序定位精确,由于差分信号的开关变化是位于两个信号的交点,而不像普通单端信号依靠高低两个阈值电压判断,因而受工艺,温度的影响小,能降低时序上的误差,同时也更适合于低幅度信号的电路。目前流行的LVDS(lowvoltagedifferentialsignaling)就是指这种小振幅差分信号技术。 差分信号的结构特点要求对应的测试设备也必须是差分拓扑,差分探头因此成为现代示波器的主流配件。下图1是典型的有源差分探头电路结构图: 点击此处查看全部新闻图片 针对高频信号测试,有源差分探头的主要好处是低输入电容、比单端探头抑制共模噪声的能力要高很多,其缺点主要体现在价格普遍较高以及需要额外的电源。 差分探头具有高的共模抑制比 什么是共模抑制比,简单来说,就是差动放大电路中对信号共模成分的抑制能力,其定义为放大器对差模信号的电压放大倍数Adm与对共模信号的电压放大倍数Acm之比,英文全称是CommonModeRejectionRatio,一般用简写CMRR来表示。 点击此处查看全部新闻图片 我们可以这样定义:两个输入端分别对地的电压平均值为共模电压Vcm,经过差动放大器后的增益为共模增益Acm;两个输入端之间的相对电压差为差模电压Vdm,其经过差模放大器之后的增益为Adm。CMRR计算公式如下: 点击此处查看全部新闻图片 哪些因素会影响探头的共模抑制比呢? 很显然,CMRR值越大越好,一般在60dB(1000:1)左右,但随着频率增加CMRR会逐渐减少。因为越快的信号边沿越容易再正负两端产生偏差,因而也会带来更多的共模电压,如下图所示。 点击此处查看全部新闻图片 CMRR为什么很重要,因为差分探头的CMRR指标若不好,则共模电压会加入差分电压内,造成测量上的误差,下面为一实例: 点击此处查看全部新闻图片 单端探头的CMRR指标为什么很难做高?单端探头模型表明了探头放大器到“大地”地线之间有一个寄生电阻和寄生电感,这两个元件构成了由探头电缆屏蔽层和大地地线组成的传输线所产出的特性阻抗。这一特性阻抗是很重要的,因为当你给单端探头加一个共模信号时,地线电感值就与这一特性阻抗一起组成了一个分压器。此分压器对到达放大器的地线信号起衰减作用。由于放大器的信号和地线输入信号受到的衰减各不相同,在放大器的输入端上就出现了一个净信号,从而使放大器有输出信号。地线电感越大,共模抑制能力越低,所以当使用单端探头时,保持地线尽量短是很重要的。 当你给差分探头加上一个共模信号时,放大器的正负两个输入端都有同一个信号。所产生的唯一输出信号是该放大器抑制特性的函数,它与连线电感无关。因此,在存在很大的共模噪音时,用差分探头来测量更为精确。这是差分探头与单端探头之间很典型的区别,除非单端探头的接地连接的电感非常小,而这一点在实际实践中是很难做到的。所以实际的差分探头CMRR一般都优于单端探头。 安全的浮地测量 电源系统测试中经常要求测量三相供电中的火线与火线,或者火线与零(中)线的相对电压差,很多用户直接使用单端探头测量两点电压,导致探头烧毁的现象时有发生。这是因为:大多数示波器的”信号公共线”终端与保护性接地系统相连接,通常称之为“接地”。这样做的结果是:所有施加到示波器上,以及由示波器提供的信号都具有一个公共的连接点。该公用连接点通常是示波器机壳,通过使交流电源设备电源线中的第三根导线源线地线,并将探头地线连到一个测试点上。单端探头的地线与供电线直接相连,后果必然是短路。这种情况下,我们需要浮地测量。 所谓“浮地”测量,即测量的两个点都不处于接地电位,这是一种典型的差分测量。“信号公共线”与地之间的电压可能会升高到数百伏。 通过切断标准三头AC插座地线的方法或使用一个交流隔离变压器,切断中线与地线的连接。将示波器从保护地线浮动起来,以减小地环路的影响。这种方法其实并不可行,因为在建筑物的布线中中线也许在某处已经与地线相连,是不安全的测量方法,会带来l人身伤害,仪器和电路损坏! 此外,它违反了工业健康和安全规定,且获得的测量结果也差。而且,交流供电仪器在地面浮动时会出现一个大的寄生电容。因此,浮动测量将受到振荡的破坏。 点击此处查看全部新闻图片 总而言之,将示波器“浮地”非常糟糕的注意,这将导致: ――损坏被测器件; ――损坏示波器 ――给人身带来潜在伤害 ――导致很差的测量精度 问题该如何解决: 最佳解决办法就是使用高共模抑制比的差分探头,因为两个输入端都不存在接地的问题,两路输入信号的差分运算在探头前端放大器完成,传输到示波器通道的信号是已差分后的电压,示波器无需去掉三线插头的接地端即可实现安全的浮地测量。 探头在捕获高速信号上的技术进步 中心议题: |