欢迎您,请 登录 或 注册

当前位置:首页 医疗器械维修 基础 电子 查看内容

开关电源中线圈电感量的计算

2017-7-14 15:13 阅读: 1240 评论: 0 编辑: ygzx1
[导读]在开关电源电路设计或电路试验过程中,经常要对线圈或导线的电感以及线圈的匝数进行计算,以便对电路参数进行调整和改进。下面仅列出多种线圈电感量的计算方法以供参考,其推导过程这里不准备详细介绍。  在进行电 ...
在开关电源电路设计或电路试验过程中,经常要对线圈或导线的电感以及线圈的匝数进行计算,以便对电路参数进行调整和改进。下面仅列出多种线圈电感量的计算方法以供参考,其推导过程这里不准备详细介绍。  在进行电路计算的时候,一般都采用SI国际单位制,即导磁率采用相对导磁率与真空导磁率的乘积,即:μ=μrμ0 ,其中相对导磁率μr是一个没有单位的系数,μ0真空导磁率 的单位为H/m。  2-1-1-17-1.几种典型电感  1、圆截面直导线的电感
图2-32
其中:  L:圆截面直导线的电感 [H]  l:导线长度 [m]  r:导线半径 [m]  μ0 :真空导磁率,μ0=4π10-7 [H/m]  【说明】 这是在 l>> r的条件下的计算公式。当圆截面直导线的外部有磁珠时,简称磁珠,磁珠的电感是圆截面直导线的电感的μr倍, μr是磁芯的相对导磁率,μr=μ/μ0 , μ为磁芯的导磁率,也称绝对导磁率, μr是一个无单位的常数,它很容易通过实际测量来求得。  2、同轴电缆线的电感  同轴电缆线如图2-33所示,其电感为:
其中:  L:同轴电缆的电感 [H]  l:同轴电缆线的长度 [m]  r1 :同轴电缆内导体外径 [m]  r2:同轴电缆外导体内径 [m]  μ0:真空导磁率,μ0=4π10-7 [H/m]  【说明】 该公式忽略同轴电缆外导体的厚度。  3、双线制传输线的电感
图2-34
其中:  L:输电线的电感 [H]  l:输电线的长度 [m]  D:输电线间的距离 [m]  r:输电线的半径 [m]  μ0:真空导磁率,μ0=4π10-7 [H/m]  【说明】 该公式的应用条件是: l>> D ,D >> r 。  4、两平行直导线之间的互感  两平行直导线如图2-34所示,其互感为:
其中:  M:输电线的互感 [H]  l :输电线的长度 [m]  D:输电线间的距离 [m]  r:输电线的半径 [m]  μ0:真空导磁率,μ0=4π10-7 [H/m]  【说明】 该公式的应用条件是: >> D ,D >> r 。  5、圆环的电感
其中:  L:圆环的电感 [H]  R:圆环的半径 [m]  r:圆环截面的半径 [m]  μ0:真空导磁率,μ0=4π10-7 [H/m]  【说明】 该公式的应用条件是:R >> r 。  5、矩型线圈的电感
矩形线圈如图2-36所示,其电感为:
6、螺旋线圈的电感
其中:  L:螺旋线圈的电感 [H]  l :螺旋线圈的长度 [m]  N:线圈的匝数  S:螺旋线圈的截面积 [m2]  μ:螺旋线圈内部磁芯的导磁率 [H/m]  k:长冈系数(由2R/l 决定,表2-1)  【说明】 上式用来计算空心线圈的电感,μ=μ0 ,计算结果比较准确。当线圈内部有磁芯时,磁芯的导磁率最好选用相对导磁率μr ,μr=μ/μ0 , μ为磁芯的导磁率,即:有磁芯线圈的电感是空心线圈电感的μr 倍, μr可通过实际测量来决定,只需把有磁芯的线圈和空心线圈分别进行对比测试,即可求得μr 。但由于磁芯的导磁率会随电流变化而变化,所以很难决定其准确值。这个公式是从单层线圈推导出来的,但对多层线圈也可以近似地适用。
    7、多层绕组线圈的电感
其中:  L:多层绕组线圈的电感 [H]  R:线圈的平均半径 [m]  l :线圈的总长度 [m]  N:线圈的总匝数  t:线圈的厚度 [m]  k:长冈系数(由2R/l 决定,见表2-1)  c:由l/t 决定的系数(见表2-2)  【说明】上式是用来计算多层线圈绕组、截面为圆形的空心线圈的电感计算公式。长冈系数k可查阅表2-1,系数c可查阅表2-2。当线圈内部有磁芯时,有磁芯线圈的电感是空心线圈电感的μr 倍, μr是磁芯的相对导磁率。相对导磁率的测试方法很简单,只需把有磁芯的线圈和空心线圈分别进行测试,通过对比即可求出相对导磁率的大小。
     8、变压器线圈的电感  变压器线圈如图2-39所示,其电感为:
L=μN*NS/l (2-108)  其中:  L:变压器线圈的电感 [H]  l :变压器铁芯磁回路的平均长度 [m]  N:线圈的匝数  S:变压器铁芯磁回路的截面积 [m2]  μ :变压器铁芯的导磁率 [H/m]  【说明】上式是用来计算变压器线圈电感的计算公式。由于变压器铁芯的磁回路基本是封闭的,变压器铁芯的平均导磁率相对来说比较大。铁芯的导磁率一般在产品技术手册中都会给出,但由于大多数开关电源变压器的铁芯都留有气隙,留有气隙的磁回路会出现磁场强度以及磁感应强度分布不均匀,因此,(2-108)式中的导磁率只能使用平均导磁率,技术手册中的数据不能直接使用。  在这种情况下,最好的方法是先制作一个简单样品,例如,在某个选好的变压器铁芯的骨架上绕一个简单线圈(比如匝数为10),然后对线圈的电感量进行测试,或者找一个已知线圈匝数与电感量的样品作为参考。知道了线圈样品的电感量后,只需把已知参数代入(2-108)或(2-94)式,即可求出其它未知参数,然后把所有已知参数定义为一个常数k;最后电感的计算公司就可以简化为:L = kN2 ,这样,电感量的计算就变得非常简单。  9、两个线圈的互感  两线圈的连接方法如图2-40所示。其中图2-40-a和图2-40-b分别为正、反向串联;图2-40-c和图2-40-d分别为正、反向并联。
串联电感为:  L=L1+L2±2M (2-109)  并联电感为:  
(2-110)
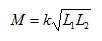
  其中:  L:两个线圈连接后的电感 [H]  L1 、L2 :分别为线圈1与线圈2的自感 [H]  M:两个线圈的互感 [H]  【说明】互感M有正负,图2-40-a和图2-40-c的接法互感M为正,图2-40-b和图2-40-d的接法互感M为负。两个线圈之间的互感M为:  
(2-111)
  其中:  M:两个线圈的互感 [H]  L1、L2 :分别为线圈1与线圈2的自感 [H]  k:两个线圈的耦合系数  【说明】互感的大小,取决两个线圈的结构和两个线圈的相对位置以及导磁物质。当K=1时,
,这时的耦合称为全耦合,它表示一个线圈产生的磁通全部从另一个线圈通过(没有漏磁通)。但在实际应用中,无论任何结构的两个线圈总会产生漏磁通,因此,耦合系数k总是一个小于1的数。一般带有铁芯的变压器漏感都比较小,因此,变压器初、次级线圈之间的偶合系数可以认为约等于1。
来源:陶显芳的博客

最新评论

扫码打开小程序

扫码安装APP

返回顶部