欢迎您,请 登录 或 注册

当前位置:首页 医疗器械维修 基础 电子 查看内容

浅析MOSFET的UIS及雪崩能量

2017-7-14 15:13 阅读: 1216 评论: 0 编辑: ygzx1
[导读]在功率MOSFET的数据表中,通常包括单脉冲雪崩能量EAS,雪崩电流IAR,重复脉冲雪崩能量EAR等参数,而许多电子工程师在设计电源系统的过程中,很少考虑到这些参数与电源系统的应用有什么样的联系,如何在实际的应用中 ...
在功率MOSFET的数据表中,通常包括单脉冲雪崩能量EAS,雪崩电流IAR,重复脉冲雪崩能量EAR等参数,而许多电子工程师在设计电源系统的过程中,很少考虑到这些参数与电源系统的应用有什么样的联系,如何在实际的应用中评定这些参数对其的影响,以及在哪些应用条件下需要考虑这些参数。本文将论述这些问题,同时探讨功率MOSFET在非钳位感性开关条件下的工作状态。  
EAS,IAR和EAR的定义及测量
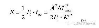
MOSFET的雪崩能量与器件的热性能和工作状态相关,其最终的表现就是温度的上升,而温度上升与功率水平和硅片封装的热性能相关。功率半导体对快速功率脉冲(时间为100~200μs)的热响应可以由式1说明:
其中,A是硅片面积,K常数与硅片的热性能相关。由式(1)得:
其中,tav是脉冲时间。当长时间在低电流下测量雪崩能量时,消耗的功率将使器件的温度升高,器件的失效电流由其达到的峰值温度所决定。如果器件足够牢靠,温度不超过最高的允许结温,就可以维持测量。在此过程内,结温通常从25℃增加到TJMAX,外部环境温度恒定为25℃,电流通常设定在ID的60%。雪崩电压VAV大约为1.3倍器件额定电压。  雪崩能量通常在非钳位感性开关UIS条件下测量。其中,有两个值EAS和EAR,EAS为单脉冲雪崩能量,定义了单次雪崩状态下器件能够消耗的最大能量;EAR为重复脉冲雪崩能量。雪崩能量依赖于电感值和起始的电流值。  图1为VDD去耦的EAS测量电路及波形。其中,驱动MOSFET为Q1,待测量的MOSFET为DUT,L为电感,D为续流管。待测量的MOSFET和驱动MOSFET同时导通,电源电压VDD加在电感上,电感激磁,其电流线性上升,经导通时间tp后,电感电流达到最大值;然后待测量的MOSFET和驱动MOSFET同时关断,由于电感的电流不能突变,在切换的瞬间,要维持原来的大小和方向,因此续流二极管D导通。
由于MOSFET的DS之间有寄生电容,因此,在D导通续流时,电感L和CDS形成谐振回路,L的电流降低使CDS上的电压上升,直到电感的电流为0,D自然关断,L中储存的能量应该全部转换到CDS中。  
这样高的电压值是不可能的,那么为什么会有这样的情况?从实际的波形上看,MOSFET的DS区域相当于一个反并联的二极管。由于这个二极管两端加的是反向电压,因此处于反向工作区,随着DS的电压VDS增加,增加到接近于对应稳压管的钳位电压也就是 V(BR)DSS时,VDS的电压就不会再明显的增加,而是维持在V(BR)DSS值基本不变,如图1所示。此时,MOSFET工作于雪崩区,V(BR)DSS就是雪崩电压,对于单次脉冲,加在MOSFET上的能量即为雪崩能量EAS
同时,由于雪崩电压是正温度系数,当MOSFET内部的某些单元温度增加,其耐压值也增加,因此,那些温度低的单元自动平衡,流过更多的电流以提高温度从而提高雪崩电压。另外,测量值依赖于雪崩电压,而在去磁期间,雪崩电压将随温度的增加而变化。
在上述公式中,有一个问题,那就是如何确定IAS?当电感确定后,是由tp来确定的吗?事实上,对于一个MOSFET器件,要首先确定IAS。如图1所示的电路中,电感选定后,不断地增加电流,直到将MOSFET完全损坏,然后将此时的电流值除以1.2或1.3,即降额70%或80%,所得到的电流值即为IAS。注意到IAS和L固定后,tp也是确定的。  
过去,传统的测量EAS的电路图和波形如图2所示。注意到,VDS最后的电压没有降到0,而是VDD,也就是有部分的能量没有转换到雪崩能量中。
在关断区,图2(b)对应的三角形面积为能量,不考虑VDD,去磁电压为VDS,实际的去磁电压为VDS-VDD,因此雪崩能量为
对于一些低压的器件,VDS-VDD变得很小,引入的误差会较大,因此限制了此测量电路的在低压器件中的使用。  
目前测量使用的电感,不同的公司有不同的标准,对于低压的MOSFET,大多数公司开始趋向于用0.1mH的电感值。通常发现:如果电感值越大,尽管雪崩的电流值会降低,但最终测量的雪崩能量值会增加,原因在于电感增加,电流上升的速度变慢,这样芯片就有更多的时间散热,因此最后测量的雪崩能量值会增加。这其中存在动态热阻和热容的问题,以后再论述这个问题。


最新评论

扫码打开小程序

扫码安装APP

返回顶部