设为首页
收藏本站
开启辅助访问
欢迎您,请
登录
或
注册
搜索
搜索
热门搜索:
迈瑞
磁共振
东软
空气消毒机
飞利浦c型臂
胎儿
飞利浦
柯达dr维修
50ma
床
高频电刀
华玺输液泵
冷光源
加速器
招标预算
西门子
飞利浦C型臂
胎心
东芝彩超
飞利浦M3046
迈瑞生化
快捷导航
文库
文章
帖子
所有分类
医用配件
监护仪/心电图机
呼吸机/麻醉机
检验设备
监护仪/心电图机
监护仪
心电图机
除颤仪
血氧仪
胎监仪
电子血压计
脑电图机
其它
呼吸机/麻醉机
呼吸机
麻醉机
其它
检验设备
血细胞分仪板
生化分析仪
电解质分析仪
血气分析仪
凝血分析仪
血流变分析仪
尿液分析仪
免疫分析仪
其它
影像设备
CT
DSA
普放设备
MRI
加速器
附属设备
超声
其它
手术器械/内镜
软镜
硬镜
冷光源
电刀
手术器械
其它
血透机/水处理
血透机
水处理
耗材
医用灯泡
监护仪耗材
呼吸机耗材
医用灯泡
无影灯灯泡
生化仪灯泡
监护仪耗材
导联线
氧饱和度探头
胎心监护探头
血压袖带
其它
呼吸机耗材
螺纹管
氧电池
积水杯
通气面罩
呼吸气囊
细菌过滤器
其它
医用电池
心电图机电池
除颤/监护电池
血压计电池
注射泵电池
其它电池
维修服务
电源维修
手术器械维修
影像设备维修
电源维修
彩超电源
呼吸机电源
其它电源
手术器械维修
高频电刀
普通器械
影像设备维修
CT
MRI
普放
超彩
麻醉呼吸机维修
麻醉机维修
呼吸机维修
监护/心电维修
监护仪维修
心电图机维修
胎心监护维修
除颤仪维修
电子血压计维修
内镜维修
摄像机
软镜
硬镜
气腹机
其它
其它
血透机维修
其它
通用配件
电子元器件
显卡
显示屏
电子元器件
二极管
三极管
场效应管
电容
电阻
IC芯片
其它
显卡
PCI-E 接口
AGP接口
图形工作站卡
PCI接口
其它
显示屏
工控显示屏
其它
存储设备
CF卡
TF卡
SD卡
硬盘
其它
五金配件
螺丝
螺幅
其它
机电产品
其它
其它
工具/资料
图书
维修资料
维修工具
图书
维修用书
考试用书
管理用书
其它
维修资料
影像设备
检验设备
监护除颤
呼吸麻醉
其它
维修工具
普通工具
备份工具
检测设备/模拟器
其它
其它
模拟器
检测设备
其它
医械展台
检验设备
影像超声
监护除颤
检验设备
影像超声
监护除颤
医用光学
腹腔镜
实验仪器
康复理疗
消毒灭菌
其它
首页
资讯
技术
市场
数字
综合
维修
基础
经验
案例
公司
管理
制度
计量
质控
法规
职场
考试
培训
招聘
感悟
文库
论坛
发现
签到
黄页
名片
医工商城
APP下载
用户
医工导购
更多>
¥29.70
2025卫生人才考试题库临床医学工程技术高级真题卷模拟题资料
¥29.70
2025卫生事业岗位招聘考试题库事业编临床医学工程技术真题卷资料
当前位置:
首页
›
医疗器械维修
›
基础
›
电子
›
查看内容
多路输出反激式开关电源的反馈环路设计
2017-7-14 15:13
阅读: 467
评论: 0
编辑:
ygzx1
[导读]
开关电源的输出是直流输入电压、占空比和负载的函数。在开关电源设计中,反馈系统的设计目标是无论输入电压、占空比和负载如何变化,输出电压总在特定的范围内,并具有良好的动态响应性能。电流模式的开关电源有连续 ...
开关电源的输出是直流输入电压、占空比和负载的函数。在开关电源设计中,反馈系统的设计目标是无论输入电压、占空比和负载如何变化,输出电压总在特定的范围内,并具有良好的动态响应性能。 电流模式的开关电源有连续电流模式(CCM)和不连续电流模式(DCM)两种工作模式。连续电流模式由于有右半平面零点的作用,反馈环在负载电流增加时输出电压有下降趋势,经若干周期后最终校正输出电压,可能造成系统不稳定。因此在设计反馈环时要特别注意避开右半平面零点频率。 当反激式开关电源工作在连续电流模式时,在最低输入电压和最重负载的工况下右半平面零点的频率最低,并且当输入电压升高时,传递函数的增益变化不明显。当由于输入电压增加或负载减小,开关电源从连续模式进入到不连续模式时,右半平面零点消失从而使得系统稳定。因此,在低输入电压和重输出负载的情况下,设计反馈环路补偿使得整个系统的传递函数留有足够的相位裕量和增益裕量,则开关电源无论在何种模式下都能稳定工作。 1 反激式开关电源典型设计 图1是为变频器设计的反激式开关电源的典型电路,主要包括交流输入整流电路,反激式开关电源功率级电路(有PWM控制器、MOS管、变压器及整流二极管组成),RCD缓冲电路和反馈网络。其中PWM控制芯片采用UC2844。UC2844是电流模式控制器,芯片内部具有可微调的振荡器(能进行精确的占空比控制)、温度补偿的参考基准、高增益误差放大器、电流取样比较器。
开关电源设计输入参数如下:三相380V工业交流电经过整流作为开关电源的输入电压Udc,按最低直流输入电压Udcmin为250V进行设计;开关电源工作频率f为60kHz,输出功率Po为60W。 当系统工作在最低输入电压、负载最重、最大占空比的工作情况下,设计开关电源工作在连续电流模式(CCM),纹波系数为0.4。设计的开关电源参数如下: 变压器的原边电感Lp=4.2mH,原边匝数Np=138;5V为反馈输出端,U5V=5V,负载R5=5Ω,匝数N5V=4,滤波电容为2个2200μF/16V电容并联,电容的等效串联电阻Resr=34mΩ;24V输出的负载R24=24Ω,匝数N24V=17;15V输出的负载R15=15Ω,匝数N15V=1l;一1 5V输出的负载R-15V=15Ω,匝数N-15V=11。 2 功率级电路的传递函数 电流模式控制器控制框图包含两个反馈环,外部电压环反馈电压信息,内部电流环反馈电流信息(如图2所示)。电流环的输入是控制电压UC和电感电流采样值US的差值,电流环的输出是占空比D。当US小于UC时,PWM调制器(Fm)输出高电平,功率开关开通,当US大于UC,PWM调制器输出低电平,功率开关关断。通过具有固定频率时钟信号的RS触发器,下一个周期自动置位。通过这种方式,电感峰值电流被控制电压精确控制。
控制框图中Gvd(s)是功率级电路占空比控制端到输出电压的传递函数,Gid(S)为占空比控制端到电感电流的传递函数,Fm(s)为PWM调制器的增益函数,He(s)为电流模式控制的开环采样增益,Rs为电流采样电阻,Uref为基准参考电压。 基于文献建立的反激式开关电源的交流小信号数学模型和Vorperian建立的简化平均PWM开关模型以及Ridley Engirleering建立的电流模式的数学模型,建立反激式开关电源的等效电路模型,进而可以求得各环节的传递函数。 从控制到输出的传递函数如下:
Gvd(s)和Gid(s)都具有双极点,但当电流环增益足够大,它们的双极点可以抵消,从而可以得到如下近似的具有单极点的传递函数:
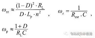
其中:UI为直流输入电压,Uo为输出电压,RL为等效负载电阻,RS为电流采样电阻,n=Ns/Np为变压器的匝数比。 零极点计算如下:
其中D为占空比,Lp为初级电感,RL为负载电阻,C为输出电容,Resr为输出电容等效串联电阻。 由(1)式可以求得图1所示开关电源从控制到输出的传递函数:
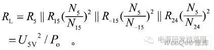
其中对于多路输出的负载RL,是指控制输出端的等效负载。按照文献提供的思路,将其他各路输出都“映射”到5V反馈输出,从而可以得到:
右半平面零点频率frz=ωrz/2π=12kHz,电容等效串联电阻ESR零点频率fz=ωz/2π=2.2kHz,负载极点频率fp=ωp/2π=125kHz。 控制到输出的传递函数伯德图如图3所示,曲线1分别为其幅频和相位图。该图利用Matlab提供的伯德图分析工具绘制。
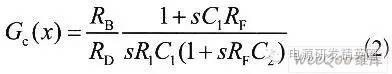
3 反馈补偿网络设计 反馈环节由电压采样网络He(s),误差放大器Gc(s)和辅助补偿环节Gx(s)组成,则系统的开环传递函数T(s)=H(s)Gc(s)Gx(s)Gvc(s)。其中电压采样网络H(s)=R1/(R1+R2),误差放大器有TL43l和光耦TLP781构成,辅助补偿环节包括电阻Rx和电容Cr。 由反馈网络补偿后得到的开环传递函数T(s)判断反馈系统的工作性能,要满足如下三个准则: 1)足够大的开环传递函数增益|T|使得输出U(s)接近于Uref(s)/H(s),并且与前向传递函数的增益关系不大,具有很好的抗干扰能力。 2)为防止一40dB/10倍频程增益斜率的电路相位快速变化,系统的闭环增益曲线在穿越频率附近的增益斜率应为一20dB/10倍频程。 3)在穿越频率处保证足够大的开环传递函数的相位裕度,一般至少45°;在T(s)的相位为一180°时,保证幅值裕度Gm≤一10dB。 基于以上的准则设计了由TL43l和光耦TLP781组成的双极点单零点反馈补偿网络,TL431内部的电压基准Uref≈2.5 V。设计中略过了U C2844的内部误差放大器,直接把反馈输入信号接在误差放大器的输出端l脚,利用TL431构成反馈补偿环节。这种设计可以把反馈信号的传输时间缩短一个放大器的传输时间,使电源的动态响应更快。 误差放大器从误差输入信号到控制端的传递函数:
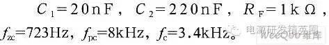
其中RB为UC2844内部0.5mA电流源的等效电阻,RB≈5kΩ,RD=200Ω。 补偿零点fzc=l/(2πC1RF),补偿极点fpc=1/(2πC2RF)。 反馈补偿网络设计的步骤如下: 1)将穿越频率设定为右半平面零点频率的l/4处,即fc=1/4frz=3kHz。 2)设定补偿零点fzc=1/3fc=l kHz,补偿极点fpc=3fc=9kHz,满足fc/fzc=fpc/fc。 3)通过计算可得C1=lOnF,C2=100nF,RF=1.5kΩ。由于反馈补偿网络影响开环传递函数的特性,通过上式得到的补偿网络可能并不满足设定的穿越频率,因此可以借助Matlab提供的伯德图分析工具配置参数,直到达到所需要的控制性能,图3中的曲线2为较理想的补偿曲线。 补偿零点的设计要考虑低频三相整流谐波(1 50Hz),补偿极点的设计考虑右半平面零点频率,并且要综合考虑相位裕量和稳定带宽的关系,最终调节的参数如下:
另外,当负载RL较小,初级电感Lp较大时,右半平面零点频率可能较低,这样就会造成反馈稳定的频带较窄,同时可能达不到所要求的幅值裕度Gm≤一10dB。为此,引入由Rx、Cx构成的辅助补偿网络,与内部等效电阻RB构成辅助零极点补偿,进一步抵消右半平面零点频率的影响,使得反馈回路在满足幅值裕度和相位裕度的前提下,能获得较大的环路增益。
辅助补偿的零点fzx=l/(2πCxRx),辅助补偿的极点fpx=1/(2πCxRB)。其中,fpx一般设计在frz附近,fzx=3fpx。辅助补偿网络的幅频和相位曲线如图3中曲线4所示。
反馈网络补偿后总开环传递函数T(s)的幅频和相频特性曲线如图3中曲线3所示。由于三相整流电路产生的直流输入具有三相交流输入的3次谐波(150Hz),因此需要开关电源在低频处有很好的频率响应特性,通过调节RD的值得到较大的增益|T|;通过设计反馈补偿网络,使得开环传递函数T(s)在穿越频率fc处的斜率为一20dB/10倍频程,并且具有91°的相位裕度(如图3所示)。因此,设计的反馈补偿网络是成功的,开关电源能够稳定工作并且具有很好的动态响应特性。 4 实验分析 为测试所设计的开关电源的稳定性和动态响应性能,设计如下的实验:将负载由半载到满载突变和满载到半载突变(包括5V反馈负载突变),观察5V的输出波形,实验波形如图4所示。 图4中上方所示为当负载突变时5V输出波形图(每格50mV),下方为上方波形的区间放大。5V输出电压为4.99V(电压值通过配置电压采样网络R1和R2得到),满载时纹波40mV,半载时纹波14mV。当负载由半载到满载突变(5V由空载到满载),5V电压下降大约20mV时反馈系统开始响应,并迅速调整输出电压值,在O.5ms的时间内达到新的平衡;当负载由满载到半载突变时,5V电压也仅有大约20mV的波动。由此可见,反馈系统具有良好的稳定性和动态响应特性。 5 结束语 反馈环节的设计是开关电源设计的关键也是设计的难点。本文在分析电流模式反激式开关电源控制框图的基础上得到了各个环节的传递函数,从而为反馈补偿网络的设计奠定了理论基础,再结合Matlab提供的伯德图分析工具,得到了优化的反馈补偿网络电路参数,很好的解决了棘手的反激式开关电源反馈稳定性和动态响应性问题。
收藏
分享
邀请
上一篇:
LED驱动设计:不可不知的5大关键点
下一篇:
电容的ESR知识汇总(很全)
相关阅读
·
除颤仪的临床应用及护理
·
当医生跟你聊血气分析时,他在聊什么?
·
迈瑞DP-50便携式超声显示器故障分析
·
Philips MX 16-Slice CT扫描系统故障维修一例
·
如何能在没有技术资料的情况下维修设备?
论坛推荐
·
欧美达麻醉机潮气量不准维修方法
·
医学影像软件大全
·
CT图像浏览器
·
迈柯唯册 MAQUET Servo-s中文维修
·
GE TMX+床边机超详细维修手册
最新评论
评论
论坛新帖
更多>
2005年11月
2004年7月大连岛
2005年11月7日第54届成都医
2004年7月大连岛津用户学习班的同事在
输液泵
5008S报错
景洪市傣乡水城
迈瑞生化仪BS-220
医工工具
医工黄页
配件信息
维修服务
每日签到
故障求助
积分充值
文库推荐
BS-200&220&330&350_维修手册_V5.0_CH
BS-400&420_维修手册_V7.0_CH
2025年职能部门月考核细则(医学工程部)
OptimaXR240 移动DR 维修手册
MD 650020声阻抗中耳功能分析仪中文说明书.pdf
上海理音RIONAUDIOMETER AA-58听力计使用说
联影CT510UserManual_ServiceL1
万东F52-8C型X光机维修手册.pdf万东F52-8C型X光机维修手册
电池式骨组织手术设备开颅钻使用说明书上海海桂医疗器械
奥林巴斯软镜培训
帮助中心
用户须知
论坛相关
积分相关
其他相关问题
积分相关
我的积分
积分充值
积分兑换
我的积分记录
网站积分规则
医工发现
维修电话
每日签到
个人设置
修改头像
修改个人资料
空间设置
修改密码
QQ绑定
关于我们
网站简介
联系我们
网站地图
免责声明
扫码打开小程序
扫码安装APP
返回顶部