欢迎您,请 登录 或 注册

当前位置:首页 医疗器械维修 基础 电子 查看内容

TL431反馈网络计算入门

2017-7-14 15:12 阅读: 4284 评论: 0 编辑: ygzx1
[导读]本文旨在帮助菜鸟快速入门,学会TL431的应用.文中的理论来源于自己的实践。全文总共有静态偏值和小信号分析2个主要方面.欢迎老鸟来拍砖.本文是对在基于NCP1205的应用上,设计一个输出5%精度,5V的反激变换器的反馈系统 ...
本文旨在帮助菜鸟快速入门,学会TL431的应用.文中的理论来源于自己的实践。全文总共有静态偏值和小信号分析2个主要方面. 欢迎老鸟来拍砖. 本文是对在基于NCP1205的应用上,设计一个输出5%精度,5V的反激变换器的反馈系统的研究来说明如何正确的使用光耦和TL431来组成反馈回路,以及相应的参数的设计方法. 
第一部分是静态偏值的分析
如图一所示,组成了NCP1205的简单I型反馈回路.R1确定TL431的静态工作点,以及低频增益,R2,R3通过对输出5V分压与TL431的基准电压进行比较,Rf,R2,Cf为反馈系统引入一个低频零点和一个在原点的极点,Rp和Cp为反馈系统引入一个高频极点,同时Rp也提供把光耦电流转化成电压给Fb的作用.Rsense把峰值电流转化为峰值电压,提供T1关断的条件.R4提供TL431的额外电流,保证TL431的Ika> 1mA. 
要让TL431正常工作,必须同时满足以下条件:1)电压条件Vka > 2.5V;2)电流条件Ika > 1mA.  图二所示为NCP1205的Fb(pin 4)的内部简易结构图. 下面要开始计算了..
1. Rsense的计算 从图二可以方便的得出如下等式:   (1) Vfb必须大于1.5V 让OCP的error flag为低电平,IC才能工作在正常状态.武断的取Vfb的静态工作点为2.5V (为啥是2.5V?其实也可以是2.4V或者其他,这个和你的功率部分的设计相关,具体请见以后会发上来的其他部分的菜鸟课堂),对应此时输出功率为最大,原边电流Ipk为最大.则,由等式(1)可得:  对应此时,Ipk的电流可以通过对功率部分的设计而计算得出,假定为:1A(老天啊,为啥又没有详细说明这个1A是怎么来的啊?^_^,请参阅其他部分的菜鸟课堂).则,Rsense可以通过 等式 (2)计算出来.    (2) 计算可以得知 Rsense=0.833 ohm 就可以满足条件.
2.电压条件Vka满足,及Rp和R1的取值计算. 光耦的If最大值一般可达到数十毫安,越大的If电流意味着越大的损耗.武断的选择If电流为0.5mA(为啥又是武断,,^_^,就算是偶喜欢好了吧).则:  (3) 取Rp为4.7k,重新计算If为0.532 mA.因为是最大输出功率计算出的If,所以此时的If值对应是最小的. 
PS:为兼容元件的差异性,保持系统稳定,光耦的传送比选择以100%为中心的一挡(不同的厂商,上下限一般都不太一样. 本文中光耦传送比设定为:80%~160%).在本文计算中,如无特殊说明,则选取100%的传送比为计算依据.
则,光耦二次侧的Ic可以计算得出: Ic_min_100% = If_min = 0.532 mA (4) 当输出负载最小的时候,通过对功率部分的计算可以得出这个时候最小的Ipk值,对应了一个最大的Vfb的电压.假定为:3V(又是假定..^_^,这个也是通过对功率部分计算得出的,不在本文讨论范围,以后说明). 重复以上If的计算公式,可得最大的If (Ic) 值为: Ic_max_100% = If_max = 0.638 mA 武断的选取 R1 为 560(这个选取无啥技巧可言,在后文中会分析到,这个R1的选择会有哪些影响,可能会调整,但也不一定了,现在就选560吧,).当Ic_max 发生的时候:    (5)     (6) 其中 VR1表示R1上的电压降,VF表示光耦的正向导通压降,取 1.2V,  Vka 表示TL431的K,A端的电压.
假定光耦的传送比在下限 80%,则:    (7) 此时,重新计算Vka = 3.35V    (8) 从等式 (8) 得知,当R1取560 的时候,在最坏情况下  = 3.35V > 2.5V.满足TL431的工作条件,即,在任何条件,TL431的Vka都能满足正常工作 大于 2.5V的条件.
3.电流条件 Ika的满足,及R4的取值计算. 当输出功率最大的时候 ,Vfb=2.5V,此时的If达到最小值,假定光耦传送比达到误差上限 160%.从等式 (4) 中可以得知,If_min = 0.532mA, 所以:    (9) 对应此时的Vka电压可以重新计算得知:   (10) 为了让Ika 满足大于1mA的要求,所以需要R4来补充缺少的电流:    (11) 取R4为 1Kohm 确定以上取值后,计算Ika的最大电流.Ika的最大电流发生在最小输出负载,并且光耦的传送比为下限80%的时候,此时的Ika 可以用以上方法计算:   Ika_max=2.45mA (12) 一般TL431的Ika的最大允许电流可以到100mA,从等式(12)可以看出,设计的最大电流不超过TL431的Ika,满足器件规格.
4.TL431的Vref的偏置以及R2,R3的取值计算. R2,R3在静态偏置方面,主要是提供对输出电压的采样.为了保证TL431的能正常工作,Iref的最小值,根据经验最好能不小于200uA.为了方便后面的小信号的计算,这里R3选取4.7 kohm 1% 的电阻.因为一般TL431的Vref是2.495V,并且为了保证电压在大电流的时候,不因为PCB的铜箔阻抗下降到离5V太远,所以R2会比R3稍微大些.这里的R2选择 4.7kohm 1%和 220ohm 1%的两个电阻串联.为了方便起见,把R2的值就记为
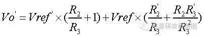
5.输出精度估算. R2,R3都选取1%精度的电阻,TL431选取2%精度的.输出电压记为Vo,为方便计算,设定R2=R3= 4.7kohm,,TL431的Vref设定为2.5V. 由分压关系可得:   (13) 对等式 (13) 左边 Vo求全微分,右边部分对Vref,R2,R3分别求偏导,然后相加,则:   (14) 因为是要求输出的误差,所以把()的负号去掉,改为正值是合理的. 等式 (14)的两边同时除以Vo,即等式(13),则:    (15) 把设定的精度以及R2=R3的条件带入,则:     (16) 满足设计要求精度为5%的输出要求.
6.Vo的接法. 反馈电压Vo的接法基本上有2种.A) 从最终输出段子接;B)在输出的LC滤波前接. 采用接法A,可以直接反应输出电压,但是却在整个系统中引入了一个LC的二阶系统,不利于反馈调节,而且也会减缓对输出负载变换的动态响应. 采用接法B,避开了这个LC的二阶系统,简化了整个系统.而通过L之后,电压降一般都很小,所以通常采用的方法是把Vo接在输出的LC滤波器前面. 至此,这个由光耦和TL431组成的反馈系统直流偏置部分就分析计算完毕. 
第二部分动态工作点小信号分析以及计算. 当电源工作在一个稳定的状态的时候,就可以进行小信号的交流分析. 
1.基本传递函数的推导及说明. 根据TL431的规格书描述,可以把TL431描述为图三所示器件组合    图三 从图三所示,可以把TL431的内部看成一个高阻抗输入的运放.则可以把图一的TL431部分用图四来表示  
  图四 
则小信号波动时候,从图一中可以得到可以表示为以下等式: 
   (17) 其中Zp表示由Rp和Cp所构成的极点的阻抗:     (18) CTR表示为光耦的传送比. A点的波动,可以通过图四来计算得知:    (19) 其中表示由Rf,Cf所构成的网络的阻抗:   (20)
把等式(20) 插入到等式 (19)中,可以得到:    (21) 把等式(21)和等式 (18) 一起插入到等式(17)中,就可以得到 的传递函数:    (22) 从等式(22)可以看出,Rf和R2与Cf一起为系统提供一个位于的零点用符号表示,系统在原点存在一个极点,另一个极点由Cp和Rp来提供,并且位于,用符号表示,这个极点一般都要远大于由Rf和R2与Cf提供的零点,系统在原点的增益由CTR,Rp,R1,R2和Cf来共同提供,并且值为:,用符号来表示.则等式(22)可以表示为以下简化形式: 这是一个由着一个零点,2个极点的,典型的II类系统.
可以预见,等式(23)所表示的传递函数的波特图中的增益曲线有一个平台,从零点开始进入平台区,一直到极点才结束.平台近似增益由如下等式确定:(PS:注意了,这个平台的意义很重大,要仔细看哦)     (24) 又因为极点远大于零点,所以等式(23)可以做进一步的近似,表示为:      (25) 在平台区的任意一点的相位为:     (26) 如果也远小于极点的话,等式(26)可以简化近似为:      (27) 零点和极点之间的距离越大,可以提升的相位越大,最多可以提胜的相位. 
2.零极点和原点增益的安排规则,及各参数的确定. 确定反馈系统的零极点以及增益,需要首先知道功率部分的传递函数,然后才能做补偿.功率部分的传递函数可以通过计算或者测量得出,可以参见 (B.Erickson,D.Maksimovic,”Fundamentals of Power Electronic”, Kluwers Academic Publishers,ISBN0-7932-7270-0) 
2.1 穿越频率(cross over frequency)fc 的确定. 穿越频率越高,系统就有越大的带宽,对负载响应和线电压响应就越快.由奈奎斯特(Nyquist)采样定理可得,穿越频率的上限不能超过工作频率的0.5 倍. 带宽越宽,越容易引入噪声,系统的稳定性越差,在一般反激式转换器的穿越频率都设计在几k赫兹.本例中设定fc为2kHz. 2.2  反馈系统设计 反馈系统设计,要使得整体的开环系统的增益曲线从反馈系统的平台中间过零,即穿越频率要落在反馈系统的平台中间.(PS:这个就是设计反馈回路的重要点了.) 从对功率部分的计算或测量,可以得到在穿越频率处,功率部分传递函数的增益,假定为,正常来说,在穿越频率处的会是一个负值,由于在穿越频率处增益为零,所以反馈系统的增益在此处为,由等式(25)以及上述条件,可以得到第一方程式:    (28) 整个系统(包括功率部分和反馈部分)的开环传递函数,相位余量必须大于 45 度才能可靠的保证系统的稳定.工程上一般设计相位余量在 50 度左右.(PS:个人经验).已知的功率部分的传递函数曲线,可以方便的得到在穿越频率处的相位,假定为,为了保证50度的相位余量,可以计算处反馈系统至少要提供的相位,假定为则:     (29) 把转换为角度后,就可以带入等式 (27) 的左边,等式中右边的带入穿越频率,就可以得到第二个方程式:    (30) 总共还有 Cp,Rf和Cf三个待解未知数,还需要一个方程式才能确定解. 输出的纹波中,一般都含有2倍的输入电源线电压的频率分量.假设输入市电的频率是50Hz,则含有100Hz的频率分量.为了满足输出纹波的要求,通常需要对100Hz的分量进行衰减.假定需要衰减60dB.根据负反馈理论,在100Hz处,反馈网络需要提供的增益表示如

最新评论

扫码打开小程序

扫码安装APP

返回顶部