欢迎您,请 登录 或 注册

当前位置:首页 医疗器械维修 基础 电子 查看内容

由易到难学电源——对电阻、电容、电感的认识

2017-7-14 12:35 阅读: 3256 评论: 0 编辑: ygzx1
[导读]最近周围很多人问了我关于电阻、电容、电感方面这方面的知识,出现了很多疑惑,查了一些资料很多疑惑总算自己也弄得差不多啦。想写出来和大家共勉。写的不对的请大家批评指正!共同进步!1、电阻电阻是电子产品、设 ...
最近周围很多人问了我关于电阻、电容、电感方面这方面的知识,出现了很多疑惑,查了一些资料很多疑惑总算自己也弄得差不多啦。想写出来和大家共勉。写的不对的请大家批评指正!共同进步!
1、电阻
电阻是电子产品、设备中使用最多的电子元件,约占总数的35%,而有些产品如彩电则占50%以上,因此电阻器质量对产品影响很大。根据材料,可将电阻分为:碳膜电阻、金属膜电阻、金属氧化膜电阻、实心(碳质)电阻和绕线电阻。
关于电阻的种类、标称值、误差、识别方法、表示方法以及一些主要参数等,我会在后面整理的文档中给出。
下面我们就来看一下关于电阻的等效电路:考虑了引线寄生电感、分布电容后,电阻实际等效电路如下图所示Ls包括电阻体寄生电感与引线电感。电阻体寄生电感与电阻结构有关,线绕电阻体寄生电感较大,非线绕,尤其是贴片电阻体寄生电感小。引线电感与引线长度有关,因此传统轴向引线封装引线寄生电感较大,无引线贴片电阻引线寄生电感最小。由于寄生电容Cs、寄生电感Ls与电阻结构有关,与阻值大小几乎无关。因此相同材料、相同结构的电阻,其频率特性与阻值关系非常密切。下图描述了Cs=0.02p,Ls=2.9nH某系列金属膜、金属氧化膜电阻的频率特性。
通过上面 6 副图,可见对于高阻值电阻,当频率升高时,寄生电容分流作用不能忽略,例如阻值大于 100K 的电阻,只能工作在频率<10MHz 的电路系统中,而阻值大于 1M 的电阻,只能工作在频率≤1MHz 的电路系统中,因此在滤波、包括高速运放电路中尽量避免使用阻值大于 100K 的电阻。
对于低阻值电阻,当频率升高时,寄生感抗不能忽略,例如阻值小于 1Ω的电阻,也只能工作在频率<10MHz 的电路系统中,而阻值小于 0.1Ω的电阻,只能工作在频率≤1MHz 的电路系统中,因此在滤波电路中尽量避免使用阻值小于 1K 的电阻。
因此在高频,尤其是在频率大于>1GHz 的微波电路中,一般均使用几十欧~几百欧的电阻。
2、电容
实际电容等效电路如图所示,寄生电感L包括了由引线寄生电感与内部寄生电感(大小与电容内部结构,即工艺有关)组成,电解电容来说,内部寄生电感远大于引线寄生电感;对瓷片电容,内部寄生电感较小。
损耗角正切与频率的关系图对于特定系列、型号电容来说,寄生参数 Rs 、L 是一定的,如容量关系不大。
例如相同材料、相同尺寸、相同工艺制作的贴片电容,103 容量与 104 容量电容相同。对电容来说,正切角损耗是一个非常重要的参数:通常在 1KHz 频率下测量,因此寄生电感影响可忽略,根据定义
tanδ=Rs/X=2πfcRs即寄生电阻Rs=X*tanδ=tanδ/2πfcRs举例说明:某材料tanδ=0.1%,则寄生电阻 Rs=0.001/2πC,其中C为电容容量。当C单位取μF时,Rs单位为KΩ。对于1u电容来说,Rs=0.16Ω;当材料正切角降为 0.01%时,则寄生电阻Rs=0.016Ω。
容量为 0.1u(损耗电阻 为 0.3Ω,寄生电感 20nH)薄膜电容频率特性如图所示,其共振频率:
 有机薄膜电容介质为有机薄膜材料,主要包括涤纶电容、聚丙烯电容(包括金属化聚丙烯电容)、聚乙脂电容(包括金属化聚乙脂电容)、聚酯电容、聚苯乙烯电容、聚碳酸酯电容等,外形如图所示
大容量的电解电容,多用 E6 系列标度;小容量电解电容多用 E12 系列标度;容量小于<1uF 以上的无极电容多用 E24 标度。
3、电感
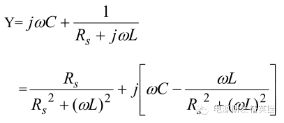
电感线圈由铜导线绕制,等效电路如图所示。
寄生电阻Rs包括了绕线电阻、引脚串联电阻以及磁芯损耗电阻三部分组成,其中绕线电阻与线径、长度、铜线电阻率有关;引脚电阻与引线长短、粗细有关;磁芯损耗电阻与磁芯材料特性有关,显然磁芯损耗电阻还与与工作频率有关。寄生电容 C 主要是绕线圈与圈之间的杂散电容(为 pF 级),与绕线工艺有关。
等效导纳
显然:
(1) 当角频率ω(频率 f)较小时,呈电感性。
(2) 当角频率ω等于ω0时,导纳 Y 虚部为 0,呈现电阻性,即发生共振。令导纳 Y 虚部为 0,即可求出共振角频率ω0。
(3) 当角频率ω>ω0时,呈容性。
举例说明:
某线圈电感 L=10mH,寄生电阻Rs=100Ω,寄生电容 C=2pF,则共振频率
在滤波电路中,电感线圈引线也不宜长,引线寄生电感对滤波有益,但引线寄生电阻会消耗额外功率。
4、电阻详细介绍
为了让更多朋友或者网友弄明白电阻,深刻的了解这个使用率非常高的元器件,我再补充谈一下关于电阻的分类,以及表示法等。请大家指正:1、分类:根据材料,可将电阻分为:碳膜电阻、金属膜电阻、金属氧化膜电阻、实心(碳质)电阻和绕线电阻。
 第一类:碳膜(包括合成碳膜)电阻
阻值范围宽(1Ω~10MΩ);耐高压;精度差(误差为5%、10%、20%),高频特性较差,常用作放大电路中的偏置电阻、数字电路中的上拉及下拉电阻。由于精度低,因此标称阻值及误差用E6(精度为20%)、E12(精度为10%)、E24(精度为5%)分度。额定功率范围从1/8W到10W,其中耗散功率为1/4W、1/2W,偏差为5%和10%的碳膜电阻器用得最多。热稳定性较差,温度系数典型值为5000ppm/℃。即温度升高1℃,阻值的变化量为百万分之5000,即千分之五。例如一个标称阻值为10K的碳膜电阻,当温度升高10℃时,阻值增加10K×5‰×10,约0.5K。第二类:     金属膜(包括金属氧化膜)电阻用真空镀膜或阴极溅射工艺,将特定金属或合金(例如镍铬合金、氧化锡或氮化钽)淀积在绝缘基体(如模制酚醛塑料)表面上形成薄膜电阻体,构成的电阻器成为金属膜电阻或金属氧化膜电阻。阻值范围也宽(从10~10MΩ),精度高(误差为0.1%~1%),温度系数小(金属膜电阻为10~100ppm/°C;金属氧化膜电阻典型值为300ppm/°C),噪声低,体积小,频率响应特性好,常用作电桥电路、RC振荡电路及有源滤波器的参数电阻、高频及脉冲电路、运算放大电路中的匹配电阻。但耐压较低。由于精度高,因此标称阻值及误差用E48(精度为1%)、E116(精度为0.5%~1%)分度。阻值用3位有效数字表示。金属氧化膜电阻温度系数比金属膜电阻大一些(300~400ppm/°C),耗散功率较大。第三类:线绕电阻线绕电阻阻值范围宽(从0.01Ω~10MΩ)精度高(0.05%),温度系数小(<10ppm/°C),耗散功率大,但寄生参数(分布电容、寄生电感)大,高频特性差。常用在对阻值有严格要求的电路系统中,例如调谐网络和精密衰减电路。第四类:    特种电阻主要有热敏电阻(包括负温度系数的NTC电阻以及正温度系数的PTC电阻)、压敏电阻、光敏电阻、气敏电阻及磁敏电阻等。2、标称值及误差   工业标准电阻、电容、电感大小按E6、E12、E24、E48、E96、E116、E192系列规范分度。所谓E12分度规范,把阻值分为12档;而E24分度规范,把阻值分为24档,各分度阻值及误差范围如下表所示。工业标准电阻值误差分为:0.05%、0.1%、0.2%、0.25%、0.5%、1%、2%、5%、10%、20%。各种标准的规格就不一一列出了。大家可以自己查找一下啦!
3、表示方法
第一种:色环表示法色环法多用于轴向封装电阻(即穿通式封装)。
第二种:数码表示法
用三位(对于普通精度)或四位(高精度)数码表示数值。对于电阻来说,单位为Ω;对于电容来说,单位为PF;对于电感来说,单位为uH。例如102(对于电阻来说是10 00,即1KΩ;对于电容来说是1000PF,即0.001uF或1nF)、1203、333等。
数码法多见于贴片电阻(即SMC封装)。
 第三种:  文字符号法
文字符号法是指:用数字表示电阻器阻值的有效数字,用字母R表示Ω、K表示KΩ、M表示MΩ作为阻值单位,且规定整数部分位于单位符号前,小数部分放在单元符号后,如下所示:0.51Ω用R51表示;5.1Ω用5R1表示;5.1KΩ用5K1表示。第四种:    直标法在电阻体上直接标出阻值及误差,如10KΩ 5%。早期多用这种方法,目前电阻体积越来越小,直标法已不再适用。4、封装方式及尺寸电阻有两种封装方式:轴向引线电阻器 (即传统穿通式AXIAL封装形式)及贴片电阻(SMD封装形式)。传统穿通式(AXIAL):结合安装工艺要求,对于1/16W 、1/8W以下电阻,在印制板上可选用AXIAL0.3封装方式;对于1/4W电阻,多选用AXIAL0.4或AXIAL0.5封装方式;对于1/2W、1W电阻,可选用AXIAL0.5或AXIAL0.6封装方式。1W以下小功率电阻引脚直径为0.40~0.60mm(即20mil~25mil)。在电路板上轴向封装元件引线较长,引线寄生电感比贴片封装大;占用电路面积也较大。但散热效果比贴片封装电阻好。贴片电阻(SMD封装):0603封装规格电阻耗散功率为1/16W或1/10W;0805封装规格电阻耗散功率为1/8W(部分贴片1/8W电阻采用1005封装规格);1206封装规格电阻耗散功率为1/4W。
5、电阻的主要参数
第一:阻值
导电材料在一定程度上阻碍电流流过的物理性能。 在保证测试灵敏度的情况下,应注意测试电压应可能低,时间尽量短,避免电阻发热引起误差。并使测量功率小于额定功率的10%。
第二:   标称电阻及允差
实际值与标称值之间的差别。
误差与标称值之间并没有直接的联系,但阻值越大,误差越大。
第三:    额定功率
在正常大气压力(650-800mmhg)和额定温度下, 长期连续工作并能满足性能要求所允许的最大功率。电阻的额定功率也是采用标准化的额定功率系列值:0.05(1/16W)、0.125(1/8W)、0.25(1/4W)、0.5((1/2W)、1、2、5、10、25、50、100W。
第四:    额定电压由阻值和功率换算得到的电压, 考虑到电击穿, 上升到一定值后, 受最大工作电压的限制。第五:  最大工作电压    由于尺寸结构的限制所允许的最大连续工作电压。第六:温度系数
在某一规定的环境温度范围内,温度改变1度时电阻的变化量。
其中T0温度对应的阻值为R0;T温度对应的阻值为R。第七: 绝缘电阻在正常大气压力下,电阻引线与电阻壳体之间的绝缘电阻。第八:噪声    产生于电阻器中的一种不规则的电压起伏,包括热噪声和电流噪声两部分,热噪声是由于导体内部不规则的电子自由运动,使导体任意两点的电压不规则变化。在非线绕电阻中, 还有电流噪声,由于电流噪声和电阻两端的工作电压成正比,所以衡量电流噪声指标表示为uv/v。第九:    稳定性在指定的时间内,受到环境,负荷等因素的影响,保持其初始阻值的能力。  

最新评论

扫码打开小程序

扫码安装APP

返回顶部