欢迎您,请 登录 或 注册

当前位置:首页 医疗器械维修 基础 电子 查看内容

【必须看看】开关电源中每一个元器件的计算

2017-7-14 12:35 阅读: 1914 评论: 0 编辑: ygzx1
[导读]开关电源的各个元器件怎么计算?损耗怎么估算?散热器的大小怎么计算?让小编为你一步一步解密!1保险丝第一个安规元件保险管1作用: 安全防护。在电源出现异常时,为了保护核心器件不受到损坏。2技术参数: 额定 ...
开关电源的各个元器件怎么计算?损耗怎么估算?散热器的大小怎么计算?让小编为你一步一步解密!
1保险丝
第一个安规元件保险管
1作用:    安全防护。在电源出现异常时,为了保护核心器件不受到损坏。2技术参数:    额定电压V、额定电流I、熔断时间I^2RT。3分类:   快断、慢断、常规
1、0.6为不带功率因数校正的功率因数估值2、Po输出功率3、η  效率(设计的评估值)4、Vinmin 最小的输入电压5、2为经验值,在实际应用中,保险管的取值范围是理论值的1.5~3倍。6、0.98 PF值
2热敏电阻
NTC的作用
NTC是以氧化锰等为主要原料制造的精细半导体电子陶瓷元件。电阻值随温度的变化呈现非线性变化,电阻值随温度升高而降低。利用这一特性,在电路的输入端串联一个负温度系数热敏电阻增加线路的阻抗,这样就可以有效的抑制开机时产生的浪涌电压形成的浪涌电流。当电路进入稳态工作时,由于线路中持续工作电流引起的NTC发热,使得电阻器的电阻值变得很小,对线路造成的影响可以完全忽略。
NTC的选择公式
对上面的公式解释如下:
1. Rt 是热敏电阻在T1温度下的阻值;    
2. Rn是热敏电阻在Tn常温下的标称阻值;    
3. B是材质参数;(常用范围2000K~6000K)    
4. exp是以自然数 e 为底的指数( e =2.{{71828:0}} );
5. 这里T1和Tn指的是K度即开尔文温度,K度=273.15(绝对温度)+摄氏度.
3压敏电阻
压敏电阻的作用
1、压敏电阻是一种限压型保护器件。利用压敏电阻的非线性特性,当过电压出现在压敏电阻的两极间,压敏电阻可以将电压钳位到一个相对固定的电压值,从而实现对后级电路的保护。
2、主要作用:过电压保护、防雷、抑制浪涌电流、吸收尖峰脉冲、限幅、高压灭弧、消噪、保护半导体元器件等。
3、主要参数有:压敏电压、通流容量、结电容、响应时间等。
4、压敏电阻的响应时间为ns级,比空气放电管快,比TVS管(瞬间抑制二极管)稍慢一些,一般情况下用于电子电路的过电压保护其响应速度可以满足要求。
选取压敏电阻的方法
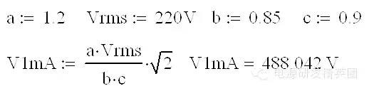
压敏电阻虽然能吸收很大的浪涌电能量,但不能承受毫安级以上的持续电流,在用作过压保护时必须考虑到这一点。压敏电阻的选用,一般选择标称压敏电压V1mA和通流容量两个参数。
1、a  为电路电压波动系数,一般取值1.2.
2、Vrms 为交流输入电压有效值。
3、b  为压敏电阻误差,一般取值0.85.
4、C  为元件的老化系数,一般取值0.9.
5、√2 为交流状态下要考虑峰峰值。
6、V1mA 为压敏电阻电压实际取值近似值
7、通流容量,即最大脉冲电流的峰值是环境温度为25℃情况下,对于规定的冲击电流波形和规定的冲击电流次数而言,压敏电压的变化不超过± 10%时的最大脉冲电流值。
选取压敏电阻的方法
结合前面所述,来看一下本电路中压敏电阻的型号所对应的相关参数。
4EMI电路
EMI电路
根据IEC {{60384:0}}-14,安规电容器分为X电容及Y电容:
X电容是指跨与L-N之间的电容器,
Y电容是指跨与L-G/N-G之间的电容器.
安规电容之--X电容
1、X电容多选用耐纹波电流比较大的聚脂薄膜类电容。这种类型的电容,体积较大,但其允许瞬间充放电的电流也很大,而其内阻相应较小。
2、X电容容值选取是uF级,此时必须在X电容的两端并联一个安全电阻,用于防止电源线拔插时,由于该电容的充放电过程而致电源线插头长时间带电。 安全标准规定,当正在工作之中的机器电源线被拔掉时,在两秒钟内,电源线插头两端带电的电压(或对地电位)必须小于原来额定工作电压的30%。
3、作为安全电容之一的X电容,也要求必须取得安全检测机构的认证。X电容一般都标有安全认证标志和耐压AC250V或AC275V字样,但其真正的直流耐压高达2000V以上,使用的时候不要随意使用标称耐压AC250V或者DC400V之类的的普通电容来代用。
4、X电容主要用来抑制差模干扰
5、安全等级     峰值脉冲电压   等级(IEC664)
6、X1               >2.5kV ≤4.0kV       Ⅲ
7、X2                ≤2.5kV                  Ⅱ
8、X3                ≤1.2kV                
9、X电容没有具体的计算公式,前期选择都是依据经验值,后期在实际测试中,根据测试结果做适当的调整。
10、经验:若电路采用两级EMI,则前级选择0.47uF,后级采用0.1uF电容。若为单级EMI,则选择0.47uF电容。(电容的容量大小跟电源功率没有直接关系)
安规电容之--Y电容
1、交流电源输入分为3个端子:火线(L)/零线(N)/地线(G)。在火线和地线之间以及在零线和地线之间并接的电容, 这两个Y电容连接的位置比较关键,必须需要符合相关安全标准, 以防引起电子设备漏电或机壳带电,容易危及人身安全及生命。它们都属于安全电容,从而要求电容值不能偏大,而耐压必须较高。
2、Y电容主要用于抑制共模干扰
3、Y电容的存在使得开关电源有一项漏电流的电性指标。工作在亚热带的机器,要求对地漏电电流不能超过0.7mA;工作在温带机器,要求对地漏电电流不能超过0.35mA。因此,Y电容的总容量一般都不能超过4700PF(472)。
Y电容的作用及取值经验
Y电容底下又分为Y1, Y2, Y3,Y4, 主要差別在于:
1. Y1耐高压大于8 kV,属于双重绝缘或加强绝缘|额定电压范围≥ 250V  
2. Y2耐高压大于5 kV,属于基本绝缘或附加绝缘|额定电压范围≥150V ≤250V  
3. Y3耐高压 ≥2.5KV ≤5KV 属于基本绝缘或附加绝缘|额定电压范围≥150V ≤250V    
4. Y4耐高压大于2.5 kV属于基本绝缘或附加绝缘|额定电压范围<150VGJB151中规定Y电容的容量应不大于0.1uF。Y电容除符合相应的电网电压耐压外,还要求这种电容器在电气和机械性能方面有足够的安全余量,避免在极端恶劣环境条件下出现击穿短路现象,Y电容的耐压性能对保护人身安全具有重要意义。
共模电感

最新评论