欢迎您,请 登录 或 注册

当前位置:首页 医疗器械维修 基础 电子 查看内容

米勒平台的形成原理

2017-7-14 12:33 阅读: 2040 评论: 0 编辑: ygzx1
[导读]在描述米勒平台(miller plateau)之前,首先来看看“罪魁祸首”米勒效应(miller effect)。假设一个增益为-Av 的理想反向电压放大器如图1 所示,在放大器的输出和输入端之间连接一个阻值为Z 的阻抗。定义输入电流 ...
在描述米勒平台(miller plateau)之前,首先来看看“罪魁祸首”米勒效应(miller effect)。假设一个增益为-Av 的理想反向电压放大器如图1 所示,在放大器的输出和输入端之间连接一个阻值为Z 的阻抗。定义输入电流为Ii(假设放大器的输入电流为0),输入阻抗为Zin,那么有如下的等式关系,
由此可见,反向电压放大器增加了电路的输入电容,并且放大系数为(1+Av)。这个效应最早是由John Milton Miller 发现的并发表在他1920 的著作中,所以称之为米勒效应。
再联系到我们的MOSFET,加入寄生电容的原理图可以由下左图来表示。假设想象图2(1)的的MOSFET 是一个共源电路(common source):Drain 为输出端,Source 接地,Gate为输入端。根据MOSFET 的小信号模型,MOSFET 形成了一个反向电压放大器,其等效电路可以由图2(2)来表示。
MOSFET 形成的电压放大器的增益需要根据其输出和输入电阻来判断,不同的MOSFET 会有不同的结构,所以增益很难量化,某些情况下其放大系数可以达到数百倍。Cgd 则形成了一条反馈回路(连接输出端口Drain 和输入端口Gate),于是在MOSFET 中的米勒效应就形成了。
接下来就是万众瞩目的米勒平台了,MOSFET 开启时的电压和电流曲线如图3 所示。Vgs在0-t1 的时间内上升到MOSFET 的阈值电压。漏极电流IDS 从t1 结束时到t3 开始时从0 上升到稳定负载电流,Vgs 继续上升到米勒平台电压Vgp。在t3 时间内,Vgs一直处于平台电压,Vds 开始下降至正向导通电压VF。在t3 时间后,Vgs 继续上升。这里我们来分析一下为什么波形会是这个样子。
首先,我们需要先要了解一下MOSFET 寄生电容的大体情况。在MOSFET 的DATASHEET中,采用的定义方法如图4 所示。需要注意的是,Crss 就是我们所说的Cgd。
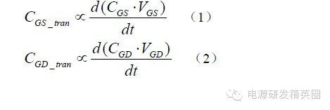
一般而言,在MOSFET 关闭的状态下,CGS 比CGD 要大很多。以大家熟知的IRF540 为例,
IRF540 的Ciss=Cgs+Cgd=1700pF, Crss=Cgd=120PF, 那么Cgs=Ciss-Cgd=1580pF. 需要指出的是两者的值都与电容两端的电压相关,这也就是为什么在DATASHEET 中会标明测试的条件。因此,相应的瞬态电容值与乘积(Cgs*Vgs)和(Cgd*Vgd)的斜率有关,即
接合MOSFET 的图3 来看,在t3 时间之前,由于Cgs 远大于Cgd,所以在此时间段内Vgs的上升斜率主要有Cgs 决定。当t3 开始时,参照式(2,)Vgd 的变化使得给Cgd在这个时间段内的电容值增加,同样使得充电电流迅速增加。所以在t3 时间内,Vgs的斜率主要由Cgd的来决定。值得注意的是,Vgs 在t3 阶段内的斜率往往都很小甚至为0,这是因为Vgd 在这段时间的电压变化非常大,使得门极中的大部分电流都用来给Cgd 充电,从而只有很少或者没有电流流向Cgs。再次使用IRF540 为例,在DATASHEET 上的有这么一组数据,Qgs=11nC,Qgd=32nC. 从前面可以看出,MOSFET 关断状态下的Cgd 远远小于Cgs,但是却需要更多的充电电荷。仔细看Qgd 的注释中,标明了是受到了“Miller”米勒效果的放大。
在t3 时间段以后,Vgs=VF 且不再变化,此时的Cgd 的电容值也就变成了一个固定的值,并且容值比之前大了很多甚至接近于Cgs。因此,在t3 之后的Vgs上升的斜率不如在t1 内的那般陡峭,而是平缓了很多如图3 所示。
很多人在测试Vgs 波形的时候,观测到的并不是一个平台,而是一个坑,既在平台之前有一个电压尖峰。借用网友荨麻草的图来说明情况
图7
尖峰的主要形成原因与米勒效应并无太大关系,主要是由于源极附近的杂散电感所致。在图3 的t1-t3 时刻之间,骤然增加的源极极电流在杂散电感上感应生成了电压尖峰。
以下是网友一花一天堂的仿真对比试验,通过在MOSFET 的源级处加入nH 级的电感来模拟杂散电感。对比上下两幅图可知,源级附近的杂散电感为米勒平台间电压尖峰的主要原因。
这里需要指出的是,图3 只是一个近似的画法,大家普遍认同Ids 的拐点与Vgs 进入米勒平台发生在同一时刻。这样杂散电感产生的尖峰就出现在了米勒平台之前。但是Vgs进入米勒平台的时间是由Cgd 与Vgd 的乘积(Cgd*Vgd)的斜率决定的。当漏极电流很小且输出阻抗很大的时候,Vgs进入米勒平台的时间要早于Ids 的拐点。这时,源极的杂散电感形成的电压尖峰就出现在了米勒平台之间。
由于上面那段话过于生涩,经greendot 老师的指点,这里可以用一个比较简单的方法或者说是经验来判断杂散电感的尖峰所处的位置。若MOSFET 连接的负载为感性(连接于MOSFET的漏极),则产生的波形如图3 所示,产生的尖峰处于平台之前。其作用原理:假设用一个电流源来模拟感性负载,并在其两端反向并联一个二极管用于模拟MOSFET 关断期间的电流回路,如图9 所示。当Vgs上升至Vth 时,Ids 从0 开始上升,并由式(3)在Vgs 上产生感应电压。在Ids上升至拐点既Ids 等于电流源电流之前,会有一部分的电流通过二极管返回至电流源。此时,由于二极管嵌位的作用,Vds 两端的电压为供电电压Vcc(忽略二极管正向导通电压)。联系本文关于米勒效应的描述,Vds 电压不变的时候,MOSFET 的放大增益为0,所以此时的Vgs 曲线还没有受到米勒效应的影响。当Ids上升至拐点后,二极管关断,Vds 的电压再开始下降,如图3 所示。此时MOSFET 形成了一个放大电路,Cgd受到米勒效应的影响,使得Vgs进入米勒平台。但Ids 已不再变化,此刻的式(3)为0,所以形成的电压尖峰处于米勒平台之前。
通过对比可以发现,感性负载是的杂散电感在Vgs 上生成的
电压尖峰处于米勒平台之前。
若负载为阻性时,其波形过程为:Ids从0 开始上升时,Vds=Vcc-(Ids*Load),所以Vds 同时开始下降,MOSFET 即刻形成一个放大电路,Vgs 进入米勒平台。由于Ids 的上升过程和Vgs进入米勒平台为同一时间,在杂散电感上形成的感应电压便叠加在了米勒平台区间。仿真结果如图10(下图中的Vds 应为Vgs),
往期文章
制约开关电源频率提升的局限是什么?
在仿真功率MOS管时引发的思考
你不可不知的15个功率二极管知识点
电源基本原理知识问答
LED电源防雷攻略:压敏电阻串联陶瓷气体放电管

最新评论

扫码打开小程序

扫码安装APP

返回顶部