欢迎您,请 登录 或 注册

当前位置:首页 医疗器械维修 基础 电子 查看内容

RCD吸收计算结果为何与实际差别大?

2017-7-14 12:33 阅读: 283 评论: 0 编辑: ygzx1
[导读]网上有很多关于RCD钳位吸收计算的技术文章和观点,但很多人发现计算出的数值和实验得到的参数并不一样。相信很多工程师都有这样的体会 - 就是计算出的电阻 Rsn 比实际实验得到的数值要小很多。大家有没有兴趣讨论一 ...
网上有很多关于RCD钳位吸收计算的技术文章和观点,但很多人发现计算出的数值和实验得到的参数并不一样。相信很多工程师都有这样的体会 - 就是计算出的电阻 Rsn 比实际实验得到的数值要小很多。大家有没有兴趣讨论一下 ~   
 (本图摘自Fairchild AN-4147) 
下面介绍一下本人在实验过程中发现的 3个原因 ~
1. 漏感测量的误差大 - 由于仪器和测试的问题导致漏感测量的误差可以很大(尤其是体积小变压器),通常是测得的漏感偏大。导致计算结果的不准确(电阻偏小)。
2. RCD计算公式中忽略了二极管Dsn的正向导通延迟时间和开关损耗,假设所有漏感引起的功耗都消耗在了电阻 Rsn 上,使得计算出的电阻数值偏小。
3. 计算公式忽略了漏感对 MOS管输出电容 Coss 的充电,而这一部分的能量是不能忽略不计的。
有关 RCD 的计算公式在网上可以找到不少,大致的算法都差不多。其中 Fairchild 的 AN-4147 比较具有代表性。对于RCD的计算公式,相信很多网友都很熟悉。在此不再重复。
请看:
 
Vsn = 110V;  Vor = 40V;  Ipk = 4.2A;  Llk = 2.79uH;  fs = 50KHz;    根据公式
得出 Rsn = 6.2K  
实验得到的数值是 Rsn = 30K 时,可以做到 Vsn = 110V。与用公式计算的结果 6.2K 相差甚远 ~
上面只计算了电阻 Rsn 的数值,而没有算 Csn。是因为实际上电容的角色在这个线路中并不重要,本身也并不吸收(消耗)能量。只要数值取稍大一点就行了,对 Vsn 和 Rsn的大小也没有什么影响。有些网友在实验的时候,一会儿改电容 Csn,一会儿改电阻 Rsn,是对线路的理解不太够。
看到有网友不太清楚 Rsn 计算公式的推导,顺便在这儿推导一下 ~
   
  
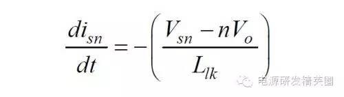
1. 当MOS管关断时,初级电流达到了最大值 Ipeak。电压Vds 迅速上升至A点,漏感 Llk上的能量开始对Csn冲电。2. Csn上的电压在整个过程中几乎不变,其大小是Vsn。3. 由于此时次级的整流管已经导通,次级圈上的电压被钳制到输出电压 Vo。反射电压 Vor (或者写成 nVo) 在初级建立。4. 漏感对 Csn 放电时,漏感上的电压被钳制到 Vsn - Vor。5. 漏感上的电流变化为
 
6. 在漏感对Csn充电的过程 ts 中,漏感两端的电压始终是 Vsn - Vor。7. 充电电流 isn 由初始值 Ipeak 一路线性下降到 0,此时漏感上的能量全部释放掉了。
 
8. 由于电流 isn 的变化是线性的,可以用几何的方法计算出 Csn 在一个周期里充电的总能量是
 
 9. RCD 线路消耗的功率是
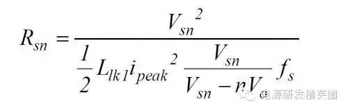
 得到下面的公式
   
10. 假设 Csn 在放电的过程中,两端电压变化不大,其值为Vsn。则Rsn近似为
 
下面言归正传,讨论一下那些因素导致 RCD 计算的结果和实际的数值差别很大。
(一)漏感
我们在 上面 的例子中看到,计算的电阻值与实际得到的参数相差有几倍之多。如果相差百分之五十,那么在工程设计中还是有参考价值的。但是差出几倍的话,可以说计算的意义已经不大了。fairchild 的公式推导中,做了一些近似,而且把所有的元件都当成是理想元件。这其中不可避免的会引入一些误差。但本人在实验中发现这些还不是最主要的原因,影响最大的是漏感测量的误差造成的。
经常听到一些网友讲 - 测到的变压器漏感很大,尤其是小变压器。有的达到10%,还有人讲大到100% 的。甚至网上有人发帖说“漏感比感量还大” 。看标题就知道内容了。 我们知道初级线圈的漏感是 MOSFET 两端尖峰产生来源,漏感的大小直接影响到 RCD 吸收线路的参数。如果漏感多出几倍,那么Rsn的数值也肯定会差很远。 所以漏感的准确测量是非常重要的。有人(包括某些专家)说变压器的漏感通常在1-5%之间,所以可以估计个数值,用来计算 RCD。个人觉得这种说法不太靠谱  ~  如果实际的漏感是 5%,而你用 2% 去计算。结果不是要差出两倍吗
为什么小个子的变压器的漏感测出来会很大呢? 其原因是变压器的每个绕组都有铜线内阻R存在。变压器越小,圈数越多,铜线上的电阻也就越大。 而测试电感的 RCL Meter在测试的时候并不知道有铜线内阻的存在,而是把线圈当做纯电感来测量。 我这里把变压器线圈简单的等效成一个电感与一个电阻的串联 (实际的等效电路要复杂很多)
正常的情况下,圈数越多铜线内阻越大,电感量也越大。电感的感抗比内阻大的多,所以铜线的内阻对电感的测量影响不大。 但测漏感的时候情况就不一样了。这时候漏感只有线圈感量的 1 - 5%,而铜线内阻还是那么大。对于小变压器来说,铜线的电阻甚至比漏感的感抗还要大。测出的漏感的误差就可想而知了 ~
下面看一个实际的例子:
 一个EE16的反激变压器, 初级绕了一、二百圈。感量3.0mH, 铜线内阻 3.3 Ω。 下面的表格显示了在不同频率下,初级绕组感抗 Zl 与铜线内阻的对比。可以看出当测试频率高于 1KHz 时,初级绕组的感抗都要比内阻大很多 。所以电感的测量误差很小。
    
假设漏感是初级感量的 3%,也就是90uH,再看看漏感感量和铜线内阻的对照。不难发现当频率在10KHz的时候,感抗比铜线内阻也大不了几倍。这时候测量出的漏感还是有较大的误差。
  
我们通常用的 RCL 测试仪, 有的测试频率能够达到 10KHz 或更高。也有的测试仪频率只有120Hz 和 1kHz 两种,我手上的巧好是后者。用 1KHz测量这个EE16变压器的漏感是 267uH,也就是差不多 9% 的初级感量。问过变压器的供应商,被告知如果用10KHz的频率测量,漏感大概是5-6% 的样子。各位的经验差不多是这样吧 ~
如果用120Hz的频率来测,漏感能有多少呢? 实测的漏感有 80%还多。测出的漏感比感量还大,应该是用120Hz的频率测的 ~
由上面的表格中,我们可以看出 RCL 仪器测试频率和漏感的测量误差之间存在的关系。在测量漏感的时候,(在低频范围内)频率越高相对的误差会越小。但即使用10KHz的频率,也还是有较大的误差。然而,很多时候我们手上的仪器有限,不一定能提供更高的频率。那只有考虑其他的办法了 ~
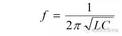
下面介绍一下我在实验中采用的漏感测试方法 - LC 谐振的方法。
LC 谐振的电路大家都很熟悉,一个电感和一个电容,串联或是并联的线路。在某一频率会产生谐振,此时的振幅最大。利用这个线路,在已知电容容值的情况下,找到谐振的频率。进而可以计算出电感的数值。
 
如上图,左边用信号源提供正弦波信号,在电感的两端(包括了串联的铜线内阻)用示波器观察信号的幅度。并记录下幅度最高时的输入频率 f 。
上面例子中的 EE16反激变压器,测得的初级漏感的谐振频率是 f = 169KHz。线路中的电容值实际测得是 C= 9.83nF 。 这个LC谐振电路的谐振频率表达式如下:
  
由于 CR2/L 部分很小,可以忽略不计。频率的公式可以简化为:
 
计算出变压器的初级漏感 Llk = 90uH, 相当于 3% 的初级电感。 这个数值比用 RCL 测试仪在 1KHz 频率时测得的 9% 的漏感要小 3 倍,也比用 10KHz 频率测得的 5-6% 的漏感要小很多 ~
由此可见 - 漏感测量的误差可以很大,由此而计算出的 RCD 参数其准确性也会大打折扣。
对上面测试的 LC 谐振的频率,我用线路模拟验证了一下。结果吻合的很好 ~
 
   
如果减小了漏感的误差,那么RCD计算的数值是否与实验参数接近了呢?,我们下面做个实验来验证一下 ~
一个反激电源工作在DCM模式;  变压器 PQ3230:初级电感 Lp = 205uH;  初级漏感 Llk = 5.5uH (@ 1KHz);  用LC谐振的方法测得: Llk = 2.1uH开关频率 fs = 76KHz初级电流 Ipeak = 3.13A   (输出 12.4V / 5A)钳位电压 Vsn = 210V反射电压 Vor = 85V ; Vin = 140V根据 fairchild 的公式
得到由漏感而引起的功率损耗是 Psn = 1.32W; 理论上这些能量都消耗在 Rsn上,由公式
计算出 Rsn= 33K
实验得到的RCD参数是: Dsn = UF4007;  Csn = 0.01uF/1KV;  Rsn = 39K / 3W
与计算出的电阻 Rsn 的 33K 相差的不多。 如果计算出的数值能如此地接近实验的结果,那么已经是很不错了。
但是仔细观察一下各处的波形,发现事情还没有那么简单 ~
 
下图中黄色为A点波形;蓝色为B点波形
 放大一点看 ~
 再放大一点 ~
 
我的RCD的波形怎么是这样的?
A点的波形和D中的电流,然后是
展开:
上贴提到二极管 UF4007 有功率消耗。但具体功耗是多少,很难准确的计算或测量。 只能根据其发热的情况,大致地估计一下。为了方便测量,把二极管 UF4007 和 Rsn 39K 搬到板子的背面。
 
然后用红外测温仪记录一下电阻和二极管上的温度
 
凭元件上的温度来估计功耗肯定是不会很准的,但也没有想出什么更好的办法。 3W 电阻上的功率损耗是0.5W、温度74.3C, 而个子小一半的二极管上的温度是66.1C。估计UF4007上的功耗大致有0.2~0.25W吧 ~
由实验看出 - 由于RCD 吸收线路中的二极管不是理想元件,本身有一定的损耗。这是RCD 公式计算误差大的另一个原因(导致计算出的电阻阻值偏小) ~
(三)Coss
大家都知道 MOS 管的输出电容 Coss 的存在。Coss上面会储存和释放能量,MOS管的开关过程中,也会造成功率损耗从而影响效率。
 
  
当MOS管关闭后, Vds 两端的电压迅速上升。电容 Coss 同时被充电。在一技术文文章中,(西安科技大学)刘树林教授的观点是 - “流过变压器原边的电流IP首先给漏源寄生电容Cds(Coss)恒流充电(因LP很大),UDS快速上升(寄生电容Cds较小),变压器原边电感储存能量的很小一部份转移到Cds(Coss)”
而某网站官方  认为“漏感能量在传递到RCD钳位电路之前,是有损耗的,损耗在于MOS管的输出电容上,也就是Coss,因为,漏感能量要先给它充能,使得它两端的电压能达到钳位电路的钳位电压,达到了钳位电压后,二极管才会导通,接着才是漏感能量向钳位电路传递能量”
我比较认同后者。起码来说漏感从一开就参与了给Coss充电,而当电压上升到Vin+Vor的时候,漏感继续给Coss充电,直至Coss上的电压升至Vin+Vsn。 一个周期内漏感充电给Coss 的能量是
  
这些能量在Coss与漏感Llk的谐振中衰减,部分传递到次级输出。剩余的部分在MOS再次开通时消耗在MOS管的导通电阻上了。其功率损耗为
  
要想计算出Coss上的能耗,首先要知道 Coss 是多少。本例中所用的是‘富士’的 FMV11N60E。规格书中的 Coss 150pF(typical)是在电压25V时的数据. Coss 随电压变化的曲线如下 -
  
由图中可以看出当电压升至几百V 的时候, Coss 就只有几十 pF 了。 于是某网站指出 - “MOS管输出电容上损耗的能量是非常小的,大概在漏感能量的 3%左右,所以可以忽略不计”
Coss上的能耗是不是真的很小,以至于可以忽略不计呢? 我们还是需要具体的计算一下。显然这个 Coss 是很难准确计算出来的,只有用实验的手段来测量其实际的数值。
 
上面这个波形是典型的反激 DCM mode的开关管Vds的样子。图中左边的谐振是初级漏感 Llk和 Coss组成的,右边的谐振是初级电感 Lp和 Coss构成的。
   
实际上参与谐振的除了 Coss 以外,还有其他的一些电容存在 - 包括变压器的初级线圈线间/层间电容 Cp(见上图)、线路的分布电容以及次级反射到初级的电容等等 ..... 我们在这里用 Ctot 来代表所有这些电容的总和。 所以实际上,上图中的谐振分别是 Llk和 Ctot、以 Lp 和 Ctot 所构成的。这里我们忽略其他的电容成分(以便于计算),近似地认为 Ctot = Coss + Cp。
这两个谐振的频率是很容易在波形上测量出来的。而初级电感 Lp和漏感 Llk 都是已知的,所以计算出 Ctot 并不困难 ~
1. 先看看初级电感 Lp和 Ctot 的谐振
  由图中读出谐振的振荡周期是  2.2uS / 2 = 1.1uS;已知Lp = 205uH,由谐振公式
 
计算出 Ctot 1 = 149 pF
2. 再看看初级漏感 Llk和 Ctot 的谐振
 由图中读出谐振的振荡周期是  402nS / 4 = 100.5nS;已知漏感 Llk = 2.1uH,由谐振公式
计算出 Ctot 2 = 122 pF
由这两个谐振算出来的 Ctot 差别有点儿大,原因待查(也可能是测量的误差)。由于其中的 Coss本身不是定数,随电压升高而下降,所以这个趋势还是对的 ~   我们以Ctot  = 122 pF 继续下面计算
上面计算中 Ctot = 122pF ,接下来算一算Coss 到底是多少 ~
由于 Ctot = Cp + Coss, 所以还要知道 Cp的大小才行。用12贴中谐振的方法,测得初级线圈电感和电容的谐振频率为1.75MHz 。根据谐振频率公式
 
计算出 Cp = 43pF  于是有  Coss = 122 - 43 = 79pF。 这个电容值实际上还包括一些线路分布电容、次级反射电容等等.......所以实际的 Coss 会比这个值还小。
计算 Coss上的能耗 -
得到 Pcoss = 0.368W  这个结果显然不止 3% 那么小  ~ 至此,让我们回过头来看看各部分的能耗。看看原本假设全部消耗在RCD 电阻上的能量实际上去了哪里 -
电阻 Rsn 上的能耗         PRsn = 0.5W二极管 UF4007上的能耗      PDsn = 0.2~0.25WMOS管输出电容 Coss上的能耗    PCoss = 0.368W -------------------------------------------------------------------上面各项的总和是           1.07 ~1.12W
这个结果与用公式计算出来的 RCD 线路的功耗 1.32W 已经比较接近 。由于在计算和测试过程中有很多的近似甚至估计,误差可以有10-30%。不过即使这样,也还算是吻合的不错 ~  
文章转自电源网帖子,非观点
查看电源工程师各地工资水平,请关注本公众号然后回复:

最新评论