欢迎您,请 登录 或 注册

当前位置:首页 医疗器械维修 基础 电子 查看内容

菜鸟对LLC谐振知识的渴望

2017-7-14 12:33 阅读: 1625 评论: 0 编辑: ygzx1
[导读]初学者到底该怎样去学习和研发开关电源?--让小编来告诉你看了网上的大师,以及仙童的LLC计算权威几篇文章,看完之后还是有很多点理解不透,在这里我想通过这几遍文章自己讲解,加深自己对LLC的理解,我想很多想学LL ...
初学者到底该怎样去学习和研发开关电源?--让小编来告诉你
看了网上的大师,以及仙童的LLC计算权威几篇文章,看完之后还是有很多点理解不透,在这里我想通过这几遍文章自己讲解,加深自己对LLC的理解,我想很多想学LLC的兄弟们刚开始也有跟我一样的心情吧
自己也做了一款L6563+L6599的200W电源,调试已完成,会通过实测波形结合自己的讲解。
欢迎新手探讨,高手吐槽,我已准备好
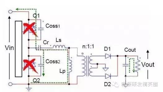
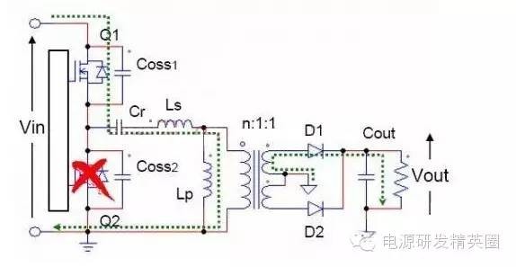
首先要知道为什么要用LLC,因为我们普通的拓补,开关管在开通与关断是没有办法在瞬间完成的,这就有了所谓的开通损耗和关断损耗,看下面图,应该更形象
图1
图2
大家从下面的波形能看出什么,刚开始看的时候我觉得这个我都有点费劲,看了半天。
第一个波形是谐振波形
第二个波形是MOS管电流波形
第三个是MOS管DS波形
从MOS管DS波形和MOS管电流波形可以看到,MOS管开通的时候,此时MOS管的电流还是在负半轴,这说明了MOS管的电压超前电流,所以谐振网络应该呈现感性
图3
对于上面的2个谐振频率可以这样理解: 
带载时,LP两端的电压被嵌位,此时谐振频率
空载时(当然后面会讲到死去区间也一样),LP两端的电压没被嵌位,此时谐振频率
现在来讲讲谐振网络的工作过程,要想谐振网络呈感性,那么开关频率必须大于谐振频率,这样就有三种可能,fs=fr,fs>fr,fr2<fs<fr.第一种情况是最好理解的,我们就先讲fs=fr时各个点的波形
下面两个图都是fs=fr的时候,第一幅图清晰点,但没有标注时间点,死区时间也没有标出,第二附图有点不清晰,分析还是按照第二幅图来。(我把励磁电感电流从上到下定为正向,从下到上定为负向)
图4
图5
从图上可以看到在t0时刻,此时Q2仍然是导通的,从图上可以看出谐振电流仍然大于励磁电流,谐振电流继续对励磁电流充电,励磁电流线性上升(我把励磁电流从上到下定为正,从下到上定为负)
那么此时副边到底是那个二极管导通呢,我相信刚开始接触LLC的朋友估计会有点纠结,我自己是这样判断的,(假如Q1导通,Q2截止,那么此时励磁电感肯定是上正下负)但此时是Q1截止,Q2导通,根据法拉第定律,此时应该是励磁电感是上负下正,再根据相位来判断 ,很显然这个时候应该是D2导通。图箭头标注的是谐振电流的流向
图6
到t1时刻,谐振电流=励磁电流,此时励磁电感没有变化的电流,所以副边没有感应电流流过,此时谐振电流同时给COSS2充电,对COSS1放电(也可以说对COSS1反向充电)COSS1充满后,体二极管导通,此时开通Q1就可以实现ZVS(这里面把体二极管的压降忽略不计)
图7
下图是FS=fr
黄色是半桥中点的电压波形
紫色是下管的驱动波形
蓝色是谐振电流的波形
从波形可以看到,黄色开通之前,紫色波形是处于负半轴上,之前说过,励磁电流从上到下为正,从下到上为负,那么谐振电流在上管开通之前的方向应该是S-D
图8
Q1导通后,励磁电感极性变成上正下负,那么很显然此时次级时D1在导通。
Q1刚导通时,谐振电流在负半轴开始减少,此时的谐振电流方向仍然是从S-D,看图1
到T2时刻,谐振电流方向开始变化,由S-D变成D-S,看图2
图9
图10
t2-t3期间,谐振电流正向对励磁电流充电,在T3时刻,Q1关断,因为FR=FS的关系,此时谐振电流刚好下降到等于励磁电流,那么励磁电感没有变化的电流,次级也就没有感应电流,此时也就是所谓的死区时间(指t3-t4期间),但谐振电流的方向仍然是正向由D-S,(建议结合图5看,比较容易懂)见图1 
在死区时间,谐振电流对coss1,coss2充电,由于谐振电流的方向,所以coss2很快被充满电,Q2体二极管导通,此时开通Q2,也就是t4时刻,见图2 
图11
图12
Q2导通之后,在t4-t5区间谐振电流与励磁电流正向减少,此时电流方向仍然为正,很显然,副边感应电流的方向可以让D2导通,见图1
在t5时刻,谐振电流正向减少到0,之后开始负向增加,谐振电流又对励磁电流开始充电,励磁电流线性增加(负向),t5-t6时刻谐振电流的方向为负,见图2(图中2中大家会对次级时那个二极管导通又疑惑吗?我刚开始看的时候就有,我以为此时应该是D1导通,很迷茫,后来才明白,对于怎么判断是那个二极管导通,最好的办法是之前讲过,Q1导通的时候励磁电感是上正下负,Q2导通的时候励磁电感是上负下正,这样就好分析了)
图13
图14
现在来讲讲fs>fr的情况,大部分跟fs=fr的情况,主要讲讲不同之处
不同之处主要在t3时刻,由于fs>fr,谐振周期大于开关周期,t3时刻Q1关断,但此时谐振电流仍然大于励磁电流,谐振电流迅速对励磁电流充电。在谐振电流下降到励磁电流之前,副边仍然有电流流过,励磁电感仍然被嵌位。谐振电感两端的电压是VC-NVO,那电流的下降斜率就是(VC-NVO)/LR。见图
图15
接下来讲讲fr2<fs<fr,也主要讲讲在t3时刻的不同之处
由于fr2<fs<fr,谐振周期小于开关周期,在t3时刻谐振电流等于励磁电流,副边也就没有电流流过,励磁电感没有被嵌位,此时Q1还处于导通状态,LR,CR,LM共同谐振,那么根据公式1/2π√(LR+LM)*CR可知,相对fr而言此时的谐振频率比较低,那么此时的谐振周期就很大,所以在t3-t4期间可以近似的认为是线性的变化。见图
图16
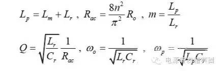
下图是用FHA等效法来计算RAC的阻抗,公式有些地方也没太懂,希望高手过来指点下
图17
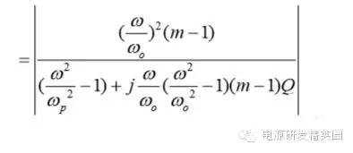
得到谐振槽的阻抗之后可以得到谐振电路的电压增益M.
M=输出电压/输入电压=2nVO/VIN
 
式1
图中的公式是怎么得来的我也不清楚,所以也就没法解释了
式2
从电压增益公式看来,当w=w0的时候,M=1,此时跟Q,m没有关系,也就跟负载没有关系了,这个点是我们要的,但实际设计中很难刚好到这个点,所以尽量要接近这个点
接下来根据上面的增益公式看下归一化曲线。下图是仙童的讲说资料,后面有句话个人感觉有问题,不知道大家怎么理解。
随着负载变轻,Q值下降,峰值增益频率移向
fp靠近,峰值增益随之下降
此时峰值增益应该是上升才对,这里不知道怎么说是下降
图18
现在结合下另外一张归一化曲线图分析下几个参数之间的关系
对应于不同的Q值曲线,其曲线顶点的右侧为ZVS区域,左侧为ZCS区域。(这点我相信大家都能理解,是谐振网络呈现感性还是容性的一个分界点,跟频率有直接的关系)
图19
看式1的增益公式M跟fn,m,Q有关系(fn=w/wo) 
在这里我们通常希望稳态时fn=1,此时M=1,此时只有m,Q是变量,这个时候可以研究下m,Q之间的关系,下图是m,Q的关系,图中的k就是我们这里的m
图20
图21
图22
从图中可以看出,m值越小,Q值越陡峭,要获取相同增益时(譬如增益由1.2-1.1变化时,增益只变化了0.1),越陡峭的Q值频率变化越小,这个是大家设计电路时需要的结果,理论上讲m值越小越好. 
但大家知道m=LP/Lr,m值越小意味着LP越小,LP越小,电感电流会越大,这会严重影响开关管的导通损耗,进而影响电源的效率。所以这里K值的选择很重要,两者要折中,一般大家的经验是3-7之间。 
这里说句题外话,关于这个问题我请教过一个大师,他一般是这样的,只要在满足增益的情况下Q值越大越好,此时m也就越大,理论上讲效率越高(注意这里的前提条件是满足增益的情况下)
接下来引用一大师的讲解
图23
我相信很多人刚开始看这段话的时候不一定都能理解,至少我刚开始看得是比较朦胧的感觉,第一句话(当我们确定K值后,就可以得到一组Q值曲线。我们如何去理解这个Q值曲线呢?当我们的输入和输出电压固定的时候,并且变压器变比固定的时候,根据上面的公式,我们是可以得到一个固定的我们所需要的谐振槽路的增益M)要结合公式M=2N*VO/VIN来看就好理解了,输入电压跟输出电压固定,咋比固定,那么增益自然就固定了。
接下来看他的第二句话,(当对应于某一个输入电压时,我们需要谐振槽路提供的增益为Mx)从公式上看,不同的输入电压谐振槽的增益也不同,在正常的输入电压范围内,当对应任何一个输入电压的时候,此时谐振槽也会对应有一个增益MX,这个MX在这里我们可以看成是一个定值。
第三句话,(我们可以在Q值曲线上画一条Mx的直线,Mx这条直线和Q值曲线相交的点,就是LLC在不同负载下的工作点。 )MX既然是定值,自然可以用一条直线画出来,这条直线跟Q值曲线有很多相交点。在这里为什么会说相交的点事LLC在不同负载下的工作点呢?这也要结合公式Q=WO*LR/RAC来看,不同负载,RAC不一样,Q值自然不一样,那么不同负载就对应着不同的Q值曲线,自然就跟MX有很多相交点了
第四句话,(从图上我们可以看到,当负载增大时,Q值也增大,Q值曲线左移,Q值曲线与Mx相交点的频率是降低的。因此我们可以看到当负载增加的时候,LLC的工作频率是减小的。)这个应该好理解,Q=WO*LR/RAC,负载增大,RAC是减少的,Q值就增大了,我们要看Q值曲线的右边,因为电路是工作在ZVS区域,看曲线右边很明显,Q值增大的话,Q值曲线是左移的,那么MX与Q值相交点的频率是降低的,结论就是负载增加,LLC工作频率是降低的。这点很重要
第5句话,(从物理意义上来讲,当负载阻抗Rac减小的时候,Lr与Cr构成的串联谐振回路上的阻抗也要减小,以维持Rac上得到的分压不变。只有通过降低频率才能使Lr和Cr构成的串联阻抗减小。因此,当负载加重时,LLC的开关频率是减小的;当负载减轻的时候,LLC的开关频率是增大的。)这句话就相当于第4句话的白话文,RAC减少,也就是负载增加,因为RAC与LR是串联的关系,那么此时LR的阻抗应该也要减少,这样RAC上的分压才会不变,输出才会稳定,那么LR的阻抗减少的话,根据公式ZL=2*π*FR*LR,频率肯定也要减少。因此,结论也是一样,负载增加,频率减少
还是继续看图23,当一个电路的输入,输出,负载,变比确定了的话,那么LLC的工作频率也就确定了。从图中也可以看出LLC的工作频率点跟MX有很大的关系,当输入,输出,负载确定了的话,要想改变MX,唯一的办法就只有变比了(MX=2N*VO/VIN)
最后一点就是Q值的选取,这个积分资料里面讲解不太一样,先看看一大师的讲解,他是结合图讲解的,随意理解起来会方便一点 
    图24
    由增益公式可以知道,最大增益Mmax对应的是最小输入电压,所以最大增益是很好确定的,这个图我自己加了标注,按照自己的理解讲解下,Qmax是最大增益对应最小工作频率的Q值,怎么理解这句话呢,4是Qmax,看4曲线,在fmin处是在曲线的右边,是ZVS处,再看1,2,3曲线,在fmin处是不是都工作在Q值曲线的左边,是在ZCS区域了,所以这里的4曲线是临界点,如果选取的Q值曲线大于4,LLC会工作在ZCS区域,这样就不对了
    接下来是仙童资料的一段话,个人觉得很有用,它可以告诉我们在什么样的情况下选择哪种工作模式
    用通俗一点的话来讲解这段,(首先解释下这里为什么用软换流这个词,因为对于单个二极管来说都是零电流导通,但不一定是零电流关断,我在这里理解成不是零电流关断就是CCM,零电流关断就是CCM了,这样感觉会理解简单点)所以这段话也就是教我们什么时候让工作在DCM,什么时候工作在CCM。可以按照我们对反激的理解来解读。
    当输出电压很高的时候,这个时候的输出整流管是没有办法用肖特基二极管的(肖特基二极管的电压一般是200V以下)如果工作CCM模式就会有反向恢复电流的问题,二极管的反向恢复损耗会比较大,所以一般会选择DCM,工作在DCM模式的话,工作频率就要小于谐振频率。谐振周期就会小于工作周期。
    当输出电压不高的时候,可以用肖特基二极管,基本可以忽略反向恢复问题,那么就可以工作在CCM模式,工作在CCM模式的好处是峰值电流会小(这里讲的是环流)会降低通态的损耗,对效率有好处。工作在CCM模式的话,工作频率就要大于谐振频率,谐振周期大于工作周期。
    现在开始按照我自己的实例设计参数
    1,输入标称电压400V(前级有PFC)
    2,输出参数64V,3A
    3,掉电维持时间20ms
    4,PFC输出直流电容150UF
    确定系统各项指标:(因为输出电压64V,比较高,就假设效率94%)
    1,输入功率PIN=PO/η=64*3/0.94=204
    2,最大输入电压VINMAX=VOPFC=400V
    3,最小输入电压VINMIN=√VOPFC^2-2PIN*Thd/Cdl=√400^2-2*204*0.02/150*10^-6=325V
    (此公式怎么来的也不太清楚,只是套用)
    根据这个公式知道最小输入电压跟掉电维持时间,输入电容有很大的关系)
    这里我还是把最小输入电压设为350V,此时可能掉电维持时间会比较短,我输入电容容量没法加大,所以还是用150UF。掉电维持时间问题就先不管了。
    3,谐振曹璐最大增益与最小增益 
    我们设计的最好状态莫非是在满载的情况下FS=FO,我们正常工作的PFC电压400V就是最大输入电压,此时的增益应该就是最小增益了。 
    由上面的公式知道,当FS=FO时,即W=WO时,增益M只跟m有关(m=LP/LR) 
    M=√m/m-1,所以Mmin=√6/6-1=1.1(这里m取值6,之前讲过,m取值范围是3-7)
    最大增益Mmax=(vopfc/vinmin)*Mmin=400/350*1.1=1.26
    4,确定匝数比
    n=NP/NS=(VINMAX/2*VO+VD)*Mmin,(我也不太清楚这里为什么要乘以Mmin),n=400/2*64+0.7=3.108
    5,确定谐振槽阻抗RAC
    RAC=8n^2*RO/π^2=8*3.108^2*(64/3)/3.14^2=167Ω
    式3
    6,接下来是最重要的一步,Q值的选取。 
    下图是一大师计算出来耳朵Q值的计算公式,他这里的Q=0.95QMAX,这样的话峰值增益就不需要余量了,直接用1.26来计算就行,如果峰值增益留15%余量的话,Q值就不需要余量了 
    Q=0.95QMAX=(0.95/6*1.26)*√6+(1.26^2/1.26^2-1)=0.37
    7,计算谐振槽,Q值计算出来,谐振参数就好计算了
    Q=WO*LR/RAC,LR=Q*RAC/WO=0.37*167/2*3.14*100*10^3=98UH
    LP=m*LR=6*98=588UH
    Q=1/WO*CR*RAC,CR=1/Q*WO*RAC=1/0.37*2*3.14*100*10^3*167=26NF
    最小开关频率的计算
    FMIN=FR/√1+m*(1-1/GMAX^2)=56KHZ
    初级匝数的计算,这个的计算方式跟反激基本一样
    NPmin=VOR*DMAX/AE*BE*FMIN 这里的VOR=N(VO+VF) DMAX=0.5,
    NPmin=3.108*(64+0.7)/2*56*10^3*161*10^-6*0.3=37.15
    NP=N*NS>NPmin=3.108*13=40.4
    所以这里NP=40,NS=13

最新评论

扫码打开小程序

扫码安装APP

返回顶部