欢迎您,请 登录 或 注册

当前位置:首页 医疗器械维修 基础 电子 查看内容

21张图让你轻松理解各种数学概念

2017-7-14 08:39 阅读: 281 评论: 0 编辑: ygzx1
[导读]“让我们面对它;总的来说数学是不容易的,但当你征服了问题,并达到新的理解高度,这就是它给你的回报。” Danica McKellar  数学是很难的科学,但因为它是科学家用数学来解释宇宙的语言,我们无可避免的要学习它 ...
“让我们面对它;总的来说数学是不容易的,但当你征服了问题,并达到新的理解高度,这就是它给你的回报。” Danica McKellar  数学是很难的科学,但因为它是科学家用数学来解释宇宙的语言,我们无可避免的要学习它。看看下面的这些 GIF 动图,它们提供了视觉的方式来帮助你理解各种数学技巧。  1、椭圆的画法
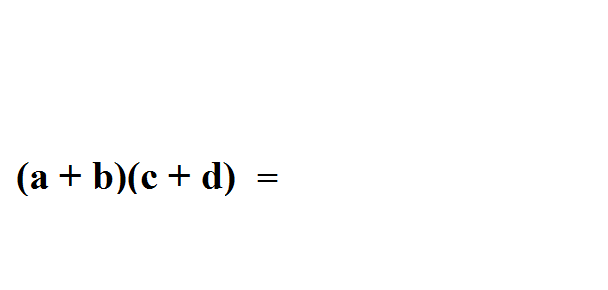
2、杨辉三角问题(Pascal triangles)解法  3、使用“FOIL”轻松的解决二项式乘法
4、对数解法技巧
5、矩阵转置的技巧
6、勾股定理
7、多边形的外角之和总是等于 360 度
8、圆周率π
9、一弧度就是长度刚好等于半径的一段圆弧所对的圆心角  10、在Y轴上使用正弦(红色),在X轴上使用余弦(蓝色),则在 XY 轴平面上画出的环形如下图(黑色)
11、同前一原理,但更简单
12、这是将 sin 和 cos 运用到三角形上
13、余弦是正弦的衍生物
14、正切线  15、同上,但翻个面看,更容易理解  16、将一个公式从笛卡尔坐标转换成轴坐标
17、画抛物线  18、黎曼和(Riemann sum)约等于其曲线下的面积  19、双曲线  20、将双曲线表现成 3D 形式,也许你不相信,它完全是用直线画成的

最新评论

扫码打开小程序

扫码安装APP

返回顶部