欢迎您,请 登录 或 注册

当前位置:首页 医疗器械维修 基础 电子 查看内容

功率MOSFET开关损耗的分析与精确计算方法

2017-7-14 08:39 阅读: 1506 评论: 0 编辑: ygzx1
[导读]本文详细分析计算开关损耗,并论述实际状态下功率MOSFET的开通过程和自然零电压关断的过程,从而使电子工程师知道哪个参数起主导作用并更加深入理解MOSFET。MOSFET开关损耗1 开通过程中MOSFET开关损耗功率MOSFET的栅 ...
本文详细分析计算开关损耗,并论述实际状态下功率MOSFET的开通过程和自然零电压关断的过程,从而使电子工程师知道哪个参数起主导作用并更加深入理解MOSFET。
MOSFET开关损耗

1 开通过程中MOSFET开关损耗

功率MOSFET的栅极电荷特性如图1所示。值得注意的是:下面的开通过程对应着BUCK变换器上管的开通状态,对于下管是0电压开通,因此开关损耗很小,可以忽略不计。
图1 MOSFET开关过程中栅极电荷特性
开通过程中,从t0时刻起,栅源极间电容开始充电,栅电压开始上升,栅极电压为
其中:,VGS为PWM栅极驱动器的输出电压,Ron为PWM栅极驱动器内部串联导通电阻,Ciss为MOSFET输入电容,Rg为MOSFET的栅极电阻。
VGS电压从0增加到开启阈值电压VTH前,漏极没有电流流过,时间t1为
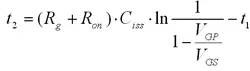
VGS电压从VTH增加到米勒平台电压VGP的时间t2为
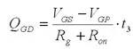
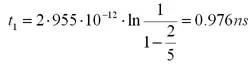
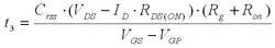
VGS处于米勒平台的时间t3为
t3也可以用下面公式计算:
注意到了米勒平台后,漏极电流达到系统最大电流ID,就保持在电路决定的恒定最大值ID,漏极电压开始下降,MOSFET固有的转移特性使栅极电压和漏极电 流保持比例的关系,漏极电流恒定,因此栅极电压也保持恒定,这样栅极电压不变,栅源极间的电容不再流过电流,驱动的电流全部流过米勒电容。过了米勒平台 后,MOSFET完全导通,栅极电压和漏极电流不再受转移特性的约束,就继续地增大,直到等于驱动电路的电源的电压。
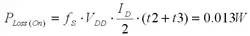
MOSFET 开通损耗主要发生在t2和t3时间段。下面以一个具体的实例计算。输入电压12V,输出电压3.3V/6A,开关频率350kHz,PWM栅极驱动器电压 为5V,导通电阻1.5Ω,关断的下拉电阻为0.5Ω,所用的MOSFET为AO4468,具体参数为 Ciss=955pF,Coss=145pF,Crss=112pF,Rg=0.5Ω;当VGS=4.5V,Qg=9nC;当 VGS=10V,Qg=17nC,Qgd=4.7nC,Qgs=3.4nC;当VGS=5V且ID=11.6A,跨导gFS=19S;当VDS=VGS且 ID=250μA,VTH=2V;当VGS=4.5V且ID=10A,RDS(ON)=17.4mΩ。
开通时米勒平台电压VGP:
计算可以得到电感L=4.7μH.,满载时电感的峰峰电流为1.454A,电感的谷点电流为5.273A,峰值电流为6.727A,所以,开通时米勒平台电压VGP=2+5.273/19=2.278V,可以计算得到:
开通过程中产生开关损耗为
开通过程中,Crss和米勒平台时间t3成正比,计算可以得出米勒平台所占开通损耗比例为84%,因此米勒电容Crss及所对应的Qgd在MOSFET的开 关损耗中起主导作用。Ciss=Crss+Cgs,Ciss所对应电荷为Qg。对于两个不同的MOSFET,两个不同的开关管,即使A管的Qg和Ciss 小于B管的,但如果A管的Crss比B管的大得多时,A管的开关损耗就有可能大于B管。因此在实际选取MOSFET时,需要优先考虑米勒电容Crss的 值。
减小驱动电阻可以同时降低t3和t2,从而降低 开关损耗,但是过高的开关速度会引起EMI的问题。提高栅驱动电压也可以降低t3时间。降低米勒电压,也就是降低阈值开启电压,提高跨导,也可以降低t3 时间从而降低开关损耗。但过低的阈值开启会使MOSFET容易受到干扰误导通,增大跨导将增加工艺复杂程度和成本。

2 关断过程中MOSFET开关损耗

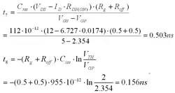
关断的过程如图1所示,分析和上面的过程相同,需注意的就是此时要用PWM驱动器内部的下拉电阻0.5Ω和Rg串联计算,同时电流要用最大电流即峰值电流6.727A来计算关断的米勒平台电压及相关的时间值:VGP=2+6.727/19=2.354V。
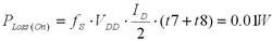
关断过程中产生开关损耗为:
Crss一定时,Ciss越大,除了对开关损耗有一定的影响,还会影响开通和关断的延时时间,开通延时为图1中的t1和t2,图2中的t8和t9。
图2 断续模式工作波形
Coss产生开关损耗与对开关过程的影响

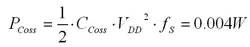
1 Coss产生的开关损耗

通常,在MOSFET关断的过程中,Coss充电,能量将储存在其中。Coss同时也影响MOSFET关断过程中的电压的上升率dVDS/dt,Coss越 大,dVDS/dt就越小,这样引起的EMI就越小。反之,Coss越小,dVDS/dt就越大,就越容易产生EMI的问题。
但是,在硬开关的过程中,Coss又不能太大,因为Coss储存的能量将在MOSFET开通的过程中,放电释放能量,将产生更多的功耗降低系统的整体效率,同时在开通过程中,产生大的电流尖峰。
开通过程中大的电流尖峰产生大的电流应力,瞬态过程中有可能损坏MOSFET,同时还会产生电流干扰,带来EMI的问题;另外,大的开通电流尖峰也会给峰值 电流模式的PWM控制器带来电流检测的问题,需要更大的前沿消隐时间,防止电流误检测,从而降低了系统能够工作的最小占空比值。
Coss产生的损耗为:
对于BUCK变换器,工作在连续模式时,开通时MOSFET的电压为输入电源电压。当工作在断续模式时,由于输出电感以输出电压为中心振荡,Coss电压值为开通瞬态时MOSFET的两端电压值,如图2所示。

2 Coss对开关过程的影响

图1中VDS的电压波形是基于理想状态下,用工程简化方式来分析的。由于Coss存在,实际的开关过程中的电压和电流波形与图1波形会有一些差异,如图3所 示。下面以关断过程为例说明。基于理想状态下,以工程简化方式,认为VDS在t7时间段内线性地从最小值上升到输入电压,电流在t8时间段内线性地从最大 值下降到0。
图3 MOSFET开关过程中实际波形
实际过程中,由于Coss影响,大部分电流从MOSFET中流过,流过Coss的非常小,甚至可以忽略不计,因此Coss的充电速度非常慢,电流VDS上升 的速率也非常慢。也可以这样理解:正是因为Coss的存在,在关断的过程中,由于电容电压不能突变,因此VDS的电压一直维持在较低的电压,可以认为是 ZVS,即0电压关断,功率损耗很小。
同样的,在开通的过程中,由于Coss的存在,电容电压不能突变,因此VDS的电压一直维持在较高的电压,实际的功率损耗很大。
在理想状态的工程简化方式下,开通损耗和关断损耗基本相同,见图1中的阴影部分。而实际的状态下,关断损耗很小而开通损耗很大,见图3中的阴影部分。
从上面的分析可以看出:在实际的状态下,Coss将绝大部分的关断损耗转移到开通损耗中,但是总的开关功率损耗基本相同。图4波形可以看到,关断时,VDS的电压在米勒平台起始时,电压上升速度非常慢,在米勒平台快结束时开始快速上升。
图4 非连续模式开关过程中波形
Coss 越大或在DS极额外的并联更大的电容,关断时MOSFET越接近理想的ZVS,关断功率损耗越小,那么更多能量通过Coss转移到开通损耗中。为了使 MOSFET整个开关周期都工作于ZVS,必须利用外部的条件和电路特性,实现其在开通过程的ZVS。如同步BUCK电路下侧续流管,由于其寄生的二极管 或并联的肖特基二极管先导通,然后续流的同步MOSFET才导通,因此同步MOSFET是0电压导通ZVS,而其关断是自然的0电压关断ZVS,因此同步 MOSFET在整个开关周期是0电压的开关ZVS,开关损耗非常小,几乎可以忽略不计,所以同步MOSFET只有RDS(ON)所产生的导通损耗,选取时 只需要考虑RDS(ON)而不需要考虑Crss的值。
注意到图1是基于连续电流模式下所得到的波形,对于非连续模式,由于开通前的电流为0,所以,除了Coss放电产生的功耗外,没有开关的损耗,即非连续模式 下开通损耗为0。但在实际的检测中,非连续模式下仍然可以看到VGS有米勒平台,这主要是由于Coss的放电电流产生的。Coss放电快,持续的时间短, 这样电流迅速降低,由于VGS和ID的受转移特性的约束,所以当电流突然降低时,VGS也会降低,VGS波形前沿的米勒平台处产生一个下降的凹坑,并伴随 着振荡。希望看到这里大家都能深入理解功率MOSFET的开关损耗。

最新评论

扫码打开小程序

扫码安装APP

返回顶部