欢迎您,请 登录 或 注册

当前位置:首页 医疗器械维修 基础 电子 查看内容

开关电源设计中最常用的几大计算公式汇总

2017-7-14 08:38 阅读: 271 评论: 0 编辑: ygzx1
[导读]对于单极性开关变压器,由于磁芯工作于磁滞回线的半区,所以磁芯损耗约为双极性开关变压器的一半。变压器总损耗为总铜耗与磁芯损耗之和。MOSFET开关管工作的最大占空比Dmax:式中:Vor为副边折射到原边的反射电压, ...
对于单极性开关变压器,由于磁芯工作于磁滞回线的半区,所以磁芯损耗约为双极性开关变压器的一半。变压器总损耗为总铜耗与磁芯损耗之和。
MOSFET开关管工作的最大占空比Dmax:
式中:Vor为副边折射到原边的反射电压,当输入为AC 220V时反射电压为135V;VminDC为整流后的最低直流电压; VDS为MOSFET功率管导通时D与S极间电压,一般取10V。
变压器原边绕组电流峰值IPK为:
式中:η为变压器的转换效率;Po为输出额定功率,单位为W。
变压器原边电感量LP:
式中:Ts为开关管的周期(s);LP单位为H。
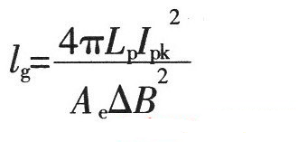
变压器的气隙lg:
式中:Ae为磁芯的有效截面积(cm2);△B为磁芯工作磁感应强度变化值(T);Lp单位取H,IPK单位取A,lg单位为mm。
变压器磁芯
反激式变换器功率通常较小,一般选用铁氧体磁芯作为变压器磁芯,其功率容量AP为
式中:AQ为磁芯窗口面积,单位为cm2;Ae为磁芯的有效截面积,单位为cm2;Po是变压器的标称输出功率,单位为W;fs为开关管的 开关频率;Bm为磁芯最大磁感应强度,单位为T;δ为线圈导线的电流密度,通常取200~300A/cm2,η是变压器的转换效率;Km为窗口填充系数, 一般为0.2~0.4;KC为磁芯的填充系数,对于铁氧体为1.0。
根据求得的AP值选择余量稍大的磁芯,一般尽量选择窗口长宽之比较大的磁芯,这样磁芯的窗口有效使用系数较高,同时可以减少漏感。
变压器原边匝数NP:
式中:△B为磁芯工作磁感应强度变化值(T),Ae单位为cm2,Ts单位为s。
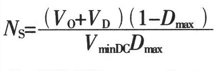
变压器副边匝数Ns:
式中:VD为变压器二次侧整流二极管导通的正向压降。
功率开关管的选择
开关管的最小电压应力UDS
一般选择DS间击穿电压应比式(9)计算值稍大的MOSFET功率管。
绕组电阻值R:
式中:MUT为平均每匝导线长度(cm); N为导线匝数;
为20℃时导线每cm的电阻值(μΩ)。
绕组铜耗PCU为:
原、副边绕组电阻值可通过求绕组电阻值R的公式求出,当求原边绕组铜耗时,电流用原边峰值电流IPK来计算;求副边绕组铜耗时,电流用输出电流Io来计算。
磁芯损耗
磁芯损耗取决于工作频率、工作磁感应强度、电路工作状态和所选用的磁芯材料的性能。对于双极性开关变压器,磁芯损耗PC:
式中:Pb为在工作频率、工作磁感应强度下单位质量的磁芯损耗(W/kg); Gc为磁芯质量(Kg)。
对于单极性开关变压器,由于磁芯工作于磁滞回线的半区,所以磁芯损耗约为双极性开关变压器的一半。变压器总损耗为总铜耗与磁芯损耗之和。

最新评论

扫码打开小程序

扫码安装APP

返回顶部