欢迎您,请 登录 或 注册

当前位置:首页 医疗器械维修 基础 电子 查看内容

谈谈开关电源变压器的漏感

2017-7-14 08:05 阅读: 197 评论: 0 编辑: ygzx1
[导读]任何变压器都存在漏感,但开关变压器的漏感对开关电源性能指标的影响特别重要。由于开关变压器漏感的存在,当控制开关断开的瞬间会产生反电动势,容易把开关器件过压击穿;漏感还可以与电路中的分布电容以及变压器线 ...
任何变压器都存在漏感,但开关变压器的漏感对开关电源性能指标的影响特别重要。由于开关变压器漏感的存在,当控制开关断开的瞬间会产生反电动势,容易把开关器件过压击穿;漏感还可以与电路中的分布电容以及变压器线圈的分布电容组成振荡回路,使电路产生振荡并向外辐射电磁能量,造成电磁干扰。因此,分析漏感产生的原理和减少漏感的产生也是开关变压器设计的重要内容之一。
开关变压器线圈之间存在漏感,是因为线圈之间存在漏磁通而产生的;因此,计算出线圈之间的漏磁通量就可以计算出漏感的数值。要计算变压器线圈之间存在的漏磁通,首先是要知道两个线圈之间的磁场分布。我们知道螺旋线圈中的磁场分布与两块极板中的电场分布有些相似之处,就是螺旋线圈中磁场强度分布是基本均匀的,并且磁场能量基本集中在螺旋线圈之中。另外,在计算螺旋线圈之内或之外的磁场强度分布时,比较复杂的情况可用麦克斯韦定理或毕-沙定理,而比较简单的情况可用安培环路定律或磁路的克希霍夫定律。
图2-30是分析计算开关变压器线圈之间漏感的原理图。下面我们就用图2-30来简单分析开关变压器线圈之间产生漏感的原理,并进行一些比较简单的计算。
在图2-30中,N1、N2分别为变压器的初、次级线圈,Tc是变压器铁芯。r是变压器铁芯的半径,r1、r2分别是变压器初、次级线圈的半径;d1为初级线圈到铁芯的距离,d2为初、次级线圈之间的距离。为了分析计算简单,这里假设变压器初、次级线圈的匝数以及线径相等,流过线圈的电流全部集中在线径的中心;因此,它们之间的距离全部是两线圈之间的中心距离,如虚线所示。
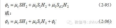
设铁芯的截面积为S,S=πr2 ;初级线圈的截面积为S1,S1=πr21 ;次级线圈的截面积为S2,S2=πr22 ;初级线圈与铁芯的间隔截面积为Sd1,Sd1= S1-S;次级线圈与初级线圈的间隙截面积为Sd2,Sd2 = S2-S1 ;电流I1流过初级线圈产生的磁场强度为H1,在面积S1之内产生的磁通量为φ1 ,在面积Sd2之内产生的磁通量为φ1' ;电流I2流过次级线圈产生的的磁场强度为H2,磁通量为φ2 。
图2.30:开关变压器线圈之间产生漏感的原理
由此可以求得电流I2流过变压器次级线圈N2产生的磁通量为:
电流I2流过变压器次级线圈N2产生的磁通量
(2-95)、(2-96)式中,μ0sd2H2=φ2 就是变压器次级线圈N2对初级线圈N1的漏磁通;因为,这一部分磁通没有穿过变压器初级线圈N1。漏磁通可以等效成是由一个电感单独产生,这个电感就称为漏感,记为Ls。同理,也可以求得流过变压器初级线圈N1中的电流I1产生的磁通量为:
流过变压器初级线圈N1中的电流I1产生的磁通量
磁通量计算式
(2-96)式中,咋看起来,变压器初级线圈N1产生的磁通量φ1全部穿过变压器次级线圈N2,它们之间应该不存在漏磁通;但是,初级线圈在面积S1中产生的磁通φ1 的方向与在面积Sd2中产生的磁通φ1 的方向,正好互相相反;因此,变压器初级线圈N1在面积Sd2中产生的磁通φ1,仍然称为变压器初级线圈N1对变压器次级线圈N2的漏磁通,其等效电感同样称为漏感。

最新评论

扫码打开小程序

扫码安装APP

返回顶部