欢迎您,请 登录 或 注册

当前位置:首页 医疗器械维修 基础 电子 查看内容

【电源知识】开关电源元器件选型—共模电感

2017-7-13 14:48 阅读: 1919 评论: 0 编辑: ygzx1
[导读]开关电源元器件选型—共模电感EMI电路共模电感的作用共模电感上,A和B就是共模电感线圈。这两个线圈绕在同一铁芯上,匝数和相位都相同(绕制方向向反)。这样,当电路中的正常电流流经共模电感时,电流在同相位绕制的 ...
开关电源元器件选型—共模电感
EMI电路
共模电感的作用
共模电感上,A和B就是共模电感线圈。这两个线圈绕在同一铁芯上,匝数和相位都相同(绕制方向向反)。这样,当电路中的正常电流流经共模电感时,电流在同相位绕制的电感线圈中产生反向的磁场而相互抵消,此时正常信号电流主要受线圈电阻的影响(和少量因漏感造成的阻尼);当有共模电流流经线圈时,由于共模电流的同向性,会在线圈内产生同向的磁场而增大线圈的感抗,使线圈表现为高阻抗,产生较强的阻尼效果,以此衰减共模电流,抑制高速信号线产生的电磁波向外辐射发射,达到滤波的目的。
共模电感的设计
第一步: 确定客户的规格要求 , EMI允许级别
第二步: 电感值的确定
第三步: core(磁芯)材质及规格确定
第四步:绕组匝数及线径的确定
第五步:打样
第六步:测试
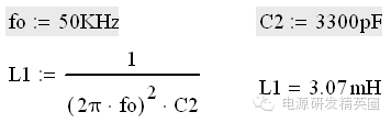
共模电感的电感量计算
EMI等級 : Fcc Class B
已知条件:C2=C7=3300pF
EMI测试频率:传导150KHz~30MHz。
EMC测试频率: 30MHz~3GHz。
实际的滤波器无法达到理想滤波器那样陡峭的阻抗曲线,通常可将截止频率设定在50KHz左右。在此,假设Fo=50KHz。则以上,得出的是理论要求的电感值,若想获得更低的截止频率,则可进一步加大电感量,截止频率一般不低于10KHz。理论上电感量越高对EMI抑制效果越好,但过高的电感将使截止频率将的更低,而实际的滤波器只能做到一定的带宽,也就使高频杂讯的抑制效果变差(一般开关电源的杂讯成分约为5~10MHz之间)。另外,感量越高,则绕线匝数越多,就要求磁芯的ui值越高,如此将造成低频阻抗增加。此外,匝数的增加使分布电容也随之增大,使高频电流全部经过匝间电容流通,造成电感发热。过高的ui值使磁芯极易饱和,同时在生产上,制作比较困难,成本较高。
共模磁芯的选择
从前述设计要求中可知,共模电感器要不易饱和,如此就需要选择低B-H(磁芯损耗与饱和磁通密度)温度特性的材料,因需要较高的电感量,磁芯的μi值也就要高,同时还必须有较低的磁芯损耗和较高的BS(饱和磁通密度)值,符合上述要求之磁芯材质,目前以铁氧体材质最为合适,磁芯大小在设计时并没有一定的规定,原则上只要符合所需要的电感量,且在允许的低频损耗范围内,所设计的产品体积最小化。因此,磁芯材质及大小选取应以成本、允许损耗、安装空间等做参考。共模电感常用磁芯的μi约在2000~10000之间。
共模电感圈数的计算
在本电路中,我们选用的磁芯型号为
TDK UU9.8
磁芯材质PC40
μi值2300
AL值 500nH/N^2
共模电感线径的计算
J为无强制散热情况下每平方毫米所通过的电流值,若有强制散热可选择6A。
Iin_avg输入电流平均值
2为常数

最新评论

扫码打开小程序

扫码安装APP

返回顶部