欢迎您,请 登录 或 注册

当前位置:首页 医疗器械维修 基础 电子 查看内容

【电源知识】开关电源中的高频磁元件的设计-变压器设计基本步骤

2017-7-13 11:13 阅读: 402 评论: 0 编辑: ygzx1
[导读]开关电源中的高频磁元件的设计......接上期变压器设计基本步骤举例说明设计步骤:设计一个输出为5V,20A离线双管正激式变换器的高频变压器,变换器输入直流电压范围是Vdc=310±20%V,变压器传输效率为98%,转换效 ...
开关电源中的高频磁元件的设计
......接上期
变压器设计基本步骤
举例说明设计步骤:
设计一个输出为5V,20A离线双管正激式变换器的高频变压器,变换器输入直流电压范围是Vdc=310±20%V,变压器传输效率为98%,转换效率为85%,允许温升40oC,开关频率50kHz。
第一步:确定变压器设计的电源参数:
Ui范围: 246~370V;输出:5V,20A;输出功率100W;开关频率fS:50kHz;变压器最大损耗(绝对):2W;最大温升℃:40℃;冷却方式: 自然通风
第二步:确定占空比绝对限制Dlim,假定Uimin时Dmax(保证动态响应)和额定UiD:
绝对限制Dlim:0.47;额定Dmax: 0.42;额定UiD: UiminDmax=116V,UimaxDlim=174V;
第三步:计算输出电压加上满载时二极管正向压降和次级IR压降:
第四步:计算希望的匝比:
可能选择的匝比:22:1;21:1或43:2
第五步:计算AP值:根据频率和输出功率要求可选择EI型锰锌铁氧体磁芯。
查表得,EI33的AP值为1.63cm4,满足要求。其Ae=1.23cm^2。
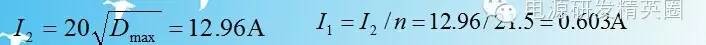
第六步:根据电磁感应定律计算次级匝数:
如果取5匝,将增加了伏/匝、磁感应变化量和磁芯损耗。如果取6匝,减少了磁芯损耗,但是增加了线圈损耗。因为以上的结果接近6匝,选取6匝。
第七步:确定初级匝数 匝比大,峰值电流低,占空比D大,铜损耗大。由步骤4决定的值,试算得到最好的选择是NP=129匝(变比43:2) 重新计算额定UiD和最坏情况下的UimaxDlim条件:
第八步:计算50kHz时的穿透深度
第九步:根据式5-29可计算每个线圈的电流有效值:
第十步:确定初级线圈
查表可选AWG#23号线,裸线截面为0.2588mm^2直径0.632mm<2δ。
第十一步:确定次级线圈
查表可选32股AWG#25号线绞绕,单根裸线截面为0.1623mm^2,直径0.505mm<2δ,或选用厚度小于δ= 0.342mm的铜箔绕制。
单端正激式变换器的电路与波形

最新评论

扫码打开小程序

扫码安装APP

返回顶部