欢迎您,请 登录 或 注册

当前位置:首页 医疗器械维修 基础 电子 查看内容

【电源知识】开关电源中的高频磁元件的设计-线圈

2017-7-13 11:13 阅读: 1491 评论: 0 编辑: ygzx1
[导读]开关电源中的高频磁元件的设计......接上期线圈电磁元件中,一般不可能没有线圈。在低频时,依据线圈直流电阻引起的允许损耗设计线圈。在给定损耗和散热条件下,选取磁芯和导线尺寸。而低频变压器的寄生参数如漏感和 ...
开关电源中的高频磁元件的设计
......接上期
线圈
电磁元件中,一般不可能没有线圈。在低频时,依据线圈直流电阻引起的允许损耗设计线圈。在给定损耗和散热条件下,选取磁芯和导线尺寸。而低频变压器的寄生参数如漏感和激磁电感对变压器影响较小,结构工艺已十分成熟。在高频开关电源中,损耗仍然是高频磁性元件设计的重要依据。但随着开关电源工作频率增加,高频电流在线圈中流通产生严重的高频效应,加之寄生电感、电容的影响大大地损害了开关电源电路的性能-效率降低、电压尖峰、寄生振荡和电磁干扰等。为了对付寄生效应产生的有害影响,电路上采用了缓冲、箝位等措施改善高频开关电源的性能,从而使电路复杂化,可靠性降低。
集 肤 效 应
当导体通过高频电流时,变化的电流就要在导体内和导体外产生变化的磁场垂直于电流方向,根据电磁感应定律,高频磁场在导体内沿长度方向产生感应电势。此感应电势在导体内整个长度方向产生的涡流阻止磁通的变化。主电流和涡流之和在导线表面加强,越向导线中心越弱,电流趋向于导体表面,这就是集肤效应,如图5-8所示。
当交流的电流流过导体的时候,会在导体中产生感应电流,从而导致电流向导体表面扩散。也就是导体表面的电流密度会大于中心的电流密度。这也就无形中减少了导体的导电截面,从而增加了导体交流电阻,损耗增大)。会引起电线有效截面积的减小,取导线直径约为2δ,其中集肤深度δ(工程上规定从导体表面到电流密度为导体表面的1/e=0.368的距离δ为集肤深度)为
一般磁性元件的线圈温度高于20℃。在导线温度100℃时,穿透深度:
计算线圈电流有效值
线圈发热是功率损耗引起的。在高频情况下,交流分量电流产生交流电阻损耗,直流分量产生直流电阻损耗。总损耗是两者之和。因此计算线圈损耗前应当计算线圈电流的有效值。在开关电源中,有如图5-9几种可能的电流波形。其峰值IP,平均值Idc 和有效值I关系分别计算如下:
A、梯形波
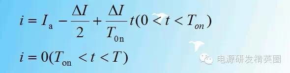
开关电源中最常见的电流波形是梯形波(图5-9(a))。例如推挽变压器初级电流,正激变压器初级和次级电流,电感电流连续模式单端反激变压器初级电流等等。高电平时间定义为Ton,周期为T,峰值电流为Ip,脉动分量为ΔI。占空比D=Ton/T,梯形波中值Ia=IP-ΔI/2 ,电流波形的表达式为
电流平均值,即直流分量:
电流总有效值:根据有效值定义
近似得到
B、断续三角波
三角波电流波形(图5-9(b))通常出现在电感电流断续状态。三角波各个电流关系为:电流平均值
电流总有效值
C、连续三角波
电感电流连续时波形如图5-9(c)。它是直流分量和一个幅度ΔI/2 的三角波叠加而成的电流平均值
电流总有效值
变压器线圈导线的选择
小电流时可直接选择圆导线,导线直径小于2倍的集肤深度δ;
电流较大时,可选择多股绞绕园导线,AWG园导线规格表见表(教材)所示。
电流较大时,也可以选择利兹线或铜箔。但利兹线中单股线的直径必须小于2倍的集肤深度δ,或铜箔的厚度小于集肤深度δ。
利兹线(Litz Wire)是由多根单独绝缘的导线经绞合或编织而成的电磁线( 电磁线是一种具有绝缘层的电线,它是以绕组形式来实现电磁能的转化,又称为绕组线)。由于这种结构的每一根单线都可处于整个导线截面的任何位置,因而使通过的电流分布均匀,磁通量均衡。同时能有效抑制在交变磁场中,尤其是在高频下更为显著的“集肤效应”和“邻近效应”所造成的导体有效电阻增大而引致的发热现象。
待续......

最新评论

扫码打开小程序

扫码安装APP

返回顶部