欢迎您,请 登录 或 注册

当前位置:首页 医疗器械维修 基础 电子 查看内容

正激各种磁复位优缺点:三绕组、RCD、有缘钳位、双管正激!

2017-7-12 15:35 阅读: 2076 评论: 0 编辑: ygzx1
[导读]概述 单端变换器的磁复位技术 使用单端隔离变压器之后,变压器磁芯如何在每个脉动工作磁通之后都能恢复到磁通起始值,这是产生的新问题,称为去磁复位问题。因为线圈通过的是单向脉动激磁电流,如果没有每个周期都 ...
概述 
单端变换器的磁复位技术
使用单端隔离变压器之后,变压器磁芯如何在每个脉动工作磁通之后都能恢复到磁通起始值,这是产生的新问题,称为去磁复位问题。因为线圈通过的是单向脉动激磁电流,如果没有每个周期都作用的去磁环节,剩磁通的累加可能导致出现饱和。这时开关导通时电流很大;断开时,过电压很高,导致开关器件的损坏。
剩余磁通实质是磁芯中仍残存有能量,如何使此能量转移到别处,就是磁芯复位的任务。具体的磁芯复位线路可以分成两种:
一种是把铁芯残存能量自然的转移,在为了复位所加的电子元件上消耗掉,或者把残存能量反馈到输入端或输出端;另一种是通过外加能量的方法强迫铁芯的磁状态复位。具体使用那种方法,可视功率的大小、所使用的磁芯磁滞特性而定。
在磁场强度H为零时,磁感应强度的多少是由铁芯材料决定。图a的剩余磁感应强度Br比图b小,图a一般是铁氧体、铁粉磁芯和非晶合金磁芯,图b一般为无气隙的晶粒取向镍铁合金铁芯。
对于剩余磁感应强度Br较小的铁芯,一般使用转移损耗法。转移损耗法有线路简单、可靠性高的特点。对于剩余磁感应强度Br较高的铁芯,一般使用强迫复位法。强迫复位法线路较为复杂。
简单的损耗法磁芯复位电路是由一只稳压管和二极管组成,稳压管和二极管与变压器原边绕组或和变压器副边绕组并联,磁芯中残存能量由于稳压管反向击穿导通而损耗,它具有两种功能,既可以限制功率开关管过电压又可以消除磁芯残存能量。在实际应用中由于变压器从原边到副边的漏电感(寄生电感)存在,这个电感中也有存储的能量,因此一般把稳压管和二极管与变压器原边绕组并联连结。这种电路只适用于小功率变换器中。
几种磁复位方式
三绕组复位法
RCD复位
有源钳位
双管正激
三绕组复位法 
优点:
技术成熟可靠,磁化能量可无损地回馈到直流电网中去。
缺点:
附加的磁复位绕组使变压器的结构和设计复杂化;
开关管关断时,变压器漏感引起的关断电压尖峰需要RC缓冲电路来抑制,尤其是变压器满载时;
开关管承受的电压与输入直流电压成正比,当变压器工作在宽输入电压范围时,必须采用高压功率MOSFET,而高压功率MOSFET的导通电阻较大,从而导致导通损耗较大;
Uin=Uinmax时,占空比d=dmin很小,不易于大功率输出。
RCD复位  
Cs:晶体管输出电容、钳位二极管结电容、折算到原边的整流二极管结电容和变压器绕组电容之和
t=t0~t1期间,开关管导通变压器上的磁化电流增加;t=t1时VM 关断,随后以负载折算到原边的电流Io/n给Cs线性充电;
t=t2时开始磁复位,Cs与Lm谐振使得磁化电感能量有一部分转移到Cs 中去,剩余的磁化电感能量和变压器漏感能量消耗在钳位电阻R中;
t=t2时开始磁复位,Cs与Lm谐振使得磁化电感能量有一部分转移到Cs 中去,剩余的磁化电感能量和变压器漏感能量消耗在钳位电阻R中;
在t=t4~t5期间,Cs中储存的能量传递到磁化电感Lm中去。
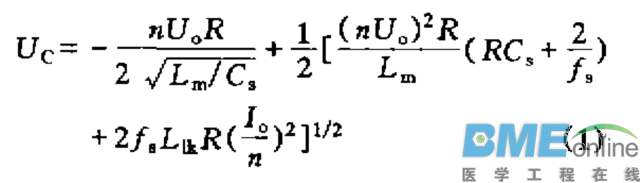
可推导出钳位电压为:
① Uc与Uin无关;
②增大Lm可降低Uc;
③ 增加Cs,可降低Uc;这可通过在VM漏源两端外并电容来实现.但这却增加了功率开关的容性开通损耗;
④减小源副边总漏感L1k可降低Uc,这是降低钳位电压的关键因素。
优点:
磁复位电路简单;
功率开关电压较低;
占空比d可大于0.5,适用于宽输入电压场合。
缺点:
大部分磁化能量消耗在钳位电阻中。因此,它广泛应用于价廉、效率要求不太高的功率变换场合。
有源钳位  
为了简化分析,假设输出滤波电感L和钳位电容Ccl足够大,因此可将它们分别作为电流源和电压源处理。变压器用磁化电感Lm 、原副边总漏感L1k和变比为n:1的理想变压器表示。每个开关周期分为七个区间.原理波形如下图所示。
t=t0时,功率开关VM开通。VDC与VD2截止.VD1开通;
t=t1时。功率开关VM关断,以Io/n对电容Cs充电.使得UDs增大;
t= t2时。UDs=Uin ,VD1关断,VD2开通,磁化电流对C2 充电.即 Lm与Cs 谐振,部分磁化能量转移到Cs中去;
t=t3时,UDs=Uin +Uc1,VDC开通.i m以-Uc1/Lm 斜率下降,一直到t4 时刻为零,钳位开关VMC 应在t3~t4 期间加上开通信号;
t=t4时,i m开始变负,VMc 实现了零电压开通,i m仍以一Ucl/L m斜率下降,铁心工作在第三象限;
t=t5时,VMc关断,Lm与Cs开始谐振,C s以负的磁化电流放电,能量回馈到电网及转移到磁化电感中去;
t=t6时,UDS下降到Uin,VD1开通,为i m在副边续流提供了通路;
t=t7 时,VM再次开通,开始了另一周期。由此可见,钳位开关VM 实现了零电压开关(ZVS),功率开关VM 实现了零电压关断,但非零电压开通。
优点:
变压器磁化能量和漏惑能量可重复利用;
可利用低压功率MOSFET和二极管;
ZVT-PWM工作方式;
占空比d可大于0.5;
变压器铁心工作在一、三象限双向对称磁化,铁心利用率高,铜损小 
缺点:
多用一个钳位开关,增加了驱动电路难度和变换器成本。
双管正激
优 点 :
加 于 每 个MOSFFT的最大电压仅为VDD。
减 少 了干扰尖峰,有利于减小了应力和噪声
可 以 有 效地避免误触发引起的短路故障。
缺 点 :
需 要 更 多的开关器件,增加了成本。
电路 中 过多的器件可能降低效率,但可以通过使用低
额定电压的MOSFET降低电阻RDS(on)来提高效率。
占空 比 小于50%,受开关频率的限制。

最新评论

扫码打开小程序

扫码安装APP

返回顶部