欢迎您,请 登录 或 注册

当前位置:首页 医疗器械维修 基础 电子 查看内容

示波器的原理和使用

2016-12-21 11:47 阅读: 1664 评论: 0 作者: 蒋雅娴 编辑: ygzx1
[导读]一. 示波器的原理和使用--示波器简介示波器是能在屏幕上以图形方式显示、观测被测信号的瞬时值轨迹变化情况的仪器。它是一种最常用的电子测量/电工测量仪器。二. 示波器的原理和使用--示波器的基本组成电子示波器由 ...

一. 示波器的原理和使用--示波器简介

示波器是能在屏幕上以图形方式显示、观测被测信号的瞬时值轨迹变化情况的仪器。它是一种最常用的电子测量/电工测量仪器。

二. 示波器的原理和使用--示波器的基本组成

电子示波器由示波管、垂直偏转系统、水平偏转系统和主机等部分组成,基本框图如下图所示。
(1)示波管
示波管是一种特殊的电子管,是示波器一个重要组成部分。示波管由电子枪、偏转系统和荧光屏3个部分组成。
(2)垂直偏转系统
垂直偏转系统包括垂直衰减器和垂直放大器。它将垂直输人信号衰减或放大到一定幅度,输出推挽信号,加到示波管的垂直偏转板,使电子射线的垂直偏转距离正比于被测信号的瞬时值。由于示波管的偏转灵敏度甚低,所以一般的被测信号电压都要先经过垂直放大电路的放大,再加到示波管的垂直偏转板上,以得到垂直方向的适当大小的形。
(3)水平偏转系统
水平偏转系统从外触发输人端经触发电路、扫描电路、水平放大器到示波管的水平偏转板。触发电路将被测信号或外触发输人信号置换成触发脉冲启动扫描电路。由于示波管水平方向的偏转灵敏度也很低,所以接入示波管水平偏转板的电压(锯齿波电压或其它电压)也要先经过水平放大电路的放大以后,再加到示波管的水平偏转板上,以得到水平方向适当大小的形。
(4)电源供给电路
电源由高压电源和低压电源两部分组成,供给示波管及各组成部分所需要的直流电压和灯丝电压。消隐与增辉电路用来传送和放大增辉和消隐信号。

三. 示波器的原理和使用--示波器的工作原理

示波器利用狭窄的、由高速电子组成的电子束,打在涂有荧光物质的屏面上,就可产生细小的光点,在被测信号的作用下,电子束在屏面上描绘出被测信号的瞬时值的变化曲线,便于人们研究各种电现象的变化过程。
如图1所示,假设示波管的加速电压为U1,偏转电压为U2,偏转点击长为L,极板间距为d,偏转电极右端到荧光屏的距离为L 1,电子的质量为m ,带电量为e。
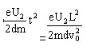
首先,在加速场中,电场力对电子做功W=eU1。根据功能定理,电子在加速场中获得了
接着电子以初速进入偏转电场,在电场力的作用下做a=eU2/md的类平抛运动,经过时间t=L/v,电子飞离偏转电场。由下图可知,电子离开偏转电场时偏转角的正切值为。电子离开偏转电场时的偏转距离为
电子到达荧光屏时偏离中心的距离为,因为L、L 1、d都是定值,故Y2与U2成正比。所以只要在荧光屏上做适当的标度就可以根据电子束射到荧光屏时所形成的亮斑偏离中心的距离为Y2测出偏转电压U2的数值。
上面介绍了示波器测量电压的原理,接下来介绍荧光屏上显示波形的原因。当两对电极上都没有加电压时,电子束从金属板小孔射出后将沿直线传播,直至打在荧光屏上,在荧光屏正中央产生一亮斑,当只在Y轴的偏转电极上加偏转电压U2=U,亮斑就会偏离中心出现在Y轴上方,并且电压越大,偏移越大,如图2所示。改变电压的极性,亮斑又会移至Y轴的下方。同理,若只在X轴扫描电极上加一恒定的电压,则亮斑就会出现在X轴上,如图3所示。
当X轴与Y轴同时加上一定的电压,则会得到下面的正弦波形。

四. 示波器的原理和使用--示波器的使用

用示波器能观察各种不同电信号幅度随时间变化的波形曲线,在这个基础上示波器可以应用于测量电压、时间、频率、相位差和调幅度等电参数。下面介绍用示波器观察电信号波形的使用步骤。
1 示波管和电源系统
1)电源(Power)-示波器主电源开关。当此开关按下时,电源指示灯亮,表示电源接通。
2)辉度(Intensity)-旋转此旋钮能改变光点和扫描线的亮度。观察低频信号时可小些,高频信号时大些。
3)聚焦(Focus)-聚焦旋钮调节电子束截面大小,将扫描线聚焦成最清晰状态。
4)标尺亮度(Illuminance)-此旋钮调节荧光屏后面的照明灯亮度。正常室内光线下,照明灯暗一些好。室内光线不足的环境中,可适当调亮照明灯。
2 荧光屏
根据被测信号在屏幕上占的格数乘以适当的比例常数(V/DIV,TIME/DIV)能得出电压值与时间值。根据输入通道的选择,将示波器探头插到相应通道插座上,示波器探头上的地与被测电路的地连接在一起,示波器探头接触被测点。示波器探头上有一双位开关。此开关拨到“X1”位置时,被测信号无衰减送到示波器,从荧光屏上读出的电压值是信号的实际电压值。此开关拨到“X10”位置时,被测信号衰减为1/10,然后送往示波器,从荧光屏上读出的电压值乘以10才是信号的实际电压值。
3 垂直偏转因数和水平偏转因数
每个波段开关上往往还有一个小旋钮,微调每档垂直偏转因数。将它沿顺时针方向旋到底,处于“校准”位置,此时垂直偏转因数值与波段开关所指示的值一致。逆时针旋转此旋钮,能够微调垂直偏转因数。垂直偏转因数微调后,会造成与波段开关的指示值不一致,这点应引起注意。示波器的标准信号源CAL,专门用于校准示波器的时基和垂直偏转因数。示波器前面板上的位移(Position)旋钮调节信号波形在荧光屏上的位置。
4 输入通道和输入耦合选择
1)输入通道选择-输入通道至少有三种选择方式:通道1(CH1)、通道2(CH2)、双通道(DUAL)。
选择通道1时,示波器仅显示通道1的信号;选择通道2时,示波器仅显示通道2的信号;选择双通道时,示波器同时显示通道1和通道2的信号。维修中以选择通道1或通道2为多。
2)输入耦合方式输入耦合方式-交流(AC)、地(GND)、直流(DC)。
5 触发
(1)常态(NORM):无信号时,屏幕上无显示;有信号时,与电平控制配合显示稳定波形;
(2)自动(AUTO):无信号时,屏幕上显示光迹;有信号时与电平控制配合显示稳定的波形;
(3)电视场(TV):用于显示电视场信号;
(4)峰值自动(P-P AUTO):无信号时,屏幕上显示光迹;有信号时,无需调节电平即能获得稳定波形显示。
6 扫描方式(SweepMode)
扫描有自动(Auto)、常态(Norm)和单次(Single)三种扫描方式。
举例: 幅度和频率的测量方法(以测试示波器的校准信号为例)
(1)将示波器探头插入通道1插孔,并将探头上的衰减置于"1"档;
(2)将通道选择置于CH1,耦合方式置于DC档;
(3)将探头探针插入校准信号源小孔内,此时示波器屏幕出现光迹;
(4)调节垂直旋钮和水平旋钮,使屏幕显示的波形图稳定,并将垂直微调和水平微调置于校准位置;
(5)读出波形图在垂直方向所占格数,乘以垂直衰减旋钮的指示数值,得到校准信号的幅度;
(6)读出波形每个周期在水平方向所占格数,乘以水平扫描旋钮的指示数值,得到校准信号的周期(周期的倒数为频率);
(7)一般校准信号的频率为1kHz,幅度为0.5V,用以校准示波器内部扫描振荡器频率,如果不正常,应调节示波器(内部)相应电位器,直至相符为止。

五. 示波器的原理和使用--示波器使用时的注意事项

(1)热电子仪器一般要避免频繁开机、关机,示波器也是这样。
(2)作定量测量时,应先将示波器通电预热10分钟以上,使机中各元件在热稳定状态下工作,否则由于机内元件温度处于上升过程,影响测量结果。
(3)如果发现波形受外界干扰,可将示波器外壳接地.
(4)在观察荧屏上的亮斑并进行调节时,亮斑的亮度要适中,不能过亮。
(5)“Y输入”的电压不可太高,以免损坏仪器,在最大衰减时也不能超过400 V。
(6)关机前先将辉度调节旋钮沿逆时针方向转到底,使亮度减到最小,然后再断开电源开关.

六. 示波器的原理和使用--参考资料

1. 如何捕捉非周期性突发脉冲信号
2. DSO数字存储示波器原理
3.示波器基础原理及基本指标
示波器,偏转,示波管,信号,电压

  上一篇:锂电池的正确使用方法
  下一篇:EMC是什么意思

最新评论

扫码打开小程序

扫码安装APP

返回顶部