欢迎您,请 登录 或 注册

当前位置:首页 医疗器械维修 基础 微机 查看内容

PWM原理

2016-12-21 11:23 阅读: 11378 评论: 0 作者: zhuwei0710 编辑: ygzx1
[导读]导读:学过单片机的同学,对PWM应该不陌生,一般学习单片机的第二个例程就是用PWM技术调节占空比来控制LED亮度。然而PWM控制技术在逆变电路中应用最广,正是有赖于其在逆变电路中的应用,才确定了它在电力电子技术中 ...
导读:学过单片机的同学,对PWM应该不陌生,一般学习单片机的第二个例程就是用PWM技术调节占空比来控制LED亮度。然而PWM控制技术在逆变电路中应用最广,正是有赖于其在逆变电路中的应用,才确定了它在电力电子技术中的重要地位。因此本文主要介绍PWM原理,对电力电子感兴趣的同学关注一下吧。。。

1. PWM原理—简介

脉宽调制(PWM,Pulse Width Modulation)是一种模拟控制方脉冲宽度调制,利用微处理器的数字输出来对模拟电路进行控制的一种非常有效的技术,广泛应用在从测量、通信到功率控制与变换的许多领域中。
PWM就是脉冲宽度调制,也就是占空比可变的脉冲波形。该技术以该结论为理论基础,对半导体开关器件的导通和关断进行控制,使输出端得到一系列幅值相等而宽度不相等的脉冲,用这些脉冲来代替正弦波或其他所需要的波形。按一定的规则对各脉冲的宽度进行调制,既可改变逆变电路输出电压的大小,也可改变输出频率。

2. PWM原理—工作原理

脉冲宽度调制波通常由一列占空比不同的矩形脉冲构成,其占空比与信号的瞬时采样值成比例。下图所示为脉冲宽度调制系统的原理框图和波形图。该系统有一个比较器和一个周期为Ts的锯齿波发生器组成。语音信号如果大于锯齿波信号,比较器输出正常数A,否则输出0。因此,从图中可以看出,比较器输出一列下降沿调制的脉冲宽度调制波。
通过图b的分析可以看出,生成的矩形脉冲的宽度取决于脉冲下降沿时刻t k时的语音信号幅度值。因而,采样值之间的时间间隔是非均匀的。在系统的输入端插入一个采样保持电路可以得到均匀的采样信号,但是对于实际中tk-kTs< <的情况,均匀采样和非均匀采样差异非常小。如果假定采样为均匀采样,第k个矩形脉冲可以表示为:

        (1)
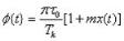
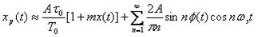
其中,x{t}是离散化的语音信号;Ts是采样周期; 是未调制宽度;m是调制指数。
然而,如果对矩形脉冲作如下近似:脉冲幅度为A,中心在t = k Ts处, 在相邻脉冲间变化缓慢,则脉冲宽度调制波xp(t)可以表示为:
(2)
其中, 。无需作频谱分析,由式(2)可以看出脉冲宽度信号由语音信号x(t)加上一个直流成分以及相位调制波构成。当时,相位调制部分引起的信号交迭可以忽略,因此,脉冲宽度调制波可以直接通过低通滤波器进行解调。

3. PWM原理—专有名词

1) 占空比:就是输出的PWM中,高电平保持的时间 与 该PWM的时钟周期的时间之比。
如,一个PWM的频率是1000Hz,那么它的时钟周期就是1ms,就是1000us,如果高电平出现的时间是200us,那么低电平的时间肯定是800us,那么占空比就是200:1000,也就是说PWM的占空比就是1:5。
2) 分辨率也就是占空比最小能达到多少,如8位的PWM,理论的分辨率就是1:255(单斜率), 16位的的PWM理论就是1:65535(单斜率)。
3) 频率就是这样的,如16位的PWM,它的分辨率达到了1:65535,要达到这个分辨率,T/C就必须从0计数到65535才能达到,如果计数从0计到80之后又从0开始计到80.......,那么它的分辨率最小就是1:80了,但是,它也快了,也就是说PWM的输出频率高了。
4) 双斜率 / 单斜率
假设一个PWM从0计数到80,之后又从0计数到80....... 这个就是单斜率。假设一个PWM从0计数到80,之后是从80计数到0....... 这个就是双斜率。
可见,双斜率的计数时间多了一倍,所以输出的PWM频率就慢了一半,但是分辨率却是1:(80+80) =1:160,就是提高了一倍。
假设PWM是单斜率,设定最高计数是80,我们再设定一个比较值是10,那么T/C从0计数到10时(这时计数器还是一直往上计数,直到计数到设定值80),单片机就会根据你的设定,控制某个IO口在这个时候是输出1还是输出0还是端口取反,这样,就是PWM的最基本的原理了。
脉冲,调制,斜率,宽度,采样


  下一篇:P2P原理

最新评论

扫码打开小程序

扫码安装APP

返回顶部