
-
- 光电耦合器设计中九大常用要点
- 摘要:光电耦合器在电子电路设计中是一种必不可少的器件,其能够将光能与电能进行互相转换,从而达到对电能进行自由掌控的目的。并且随着现代电源设备的多样化发展,光电耦合器的应用场合也越来越广泛。在接下来的内容中, ...
-
- 电源工程师必须懂的开关电源知识
- 摘要:现在都从一线研发退出了,回想自己起步阶段的艰难:各种资料,各种教程,铺天盖地,看不完,似懂非懂。现在都老油条了,自己也算是一个比较勤奋的人,做了五年了,各种拓扑,各种功率,基本上玩过一遍了。 技术放下 ...
-
- 什么是有功功率和无功功率?你真的搞明白了么?
- 摘要:解释一:1.无功功率在交流电路中,由电源供给负载的电功率有两种;一种是有功功率,一种是无功功率。有功功率是保持用电设备正常运行所需的电功率,也就是将电能转换为其他形式能量(机械能、光能、热能)的电功率。比 ...
-
- 改变电源频率降低EMI性能
- 摘要:中心议题: * 改变电源频率降低EMI性能解决方案: * 调制电源开关频率延伸EMI特征 * 更大调制指数进一步降低峰值EMI性能本文这种方法涉及了对电源开关频率的调制,以引入边带能量,并改变窄带噪声到宽带的发射特征, ...
-
- 对比讲解led驱动电源PWM与可控硅调光哪个更好?
- 摘要:LED照明领域中关于调光的技术种类多样,其中较为常用的两种调光方式分别是可控硅调光与PWM调光,那么这两种调光方式的区别在哪里?各自的优点与缺点又是什么的?本文就将针对这个问题帮助大家进行全面的分析,从而掌 ...
-
- 在仿真功率MOS管时引发的思考
- 摘要:在实际产品中经常用功率MOS管来做电源的开关,用来关闭电路的某一部分,从而减少能量的消耗。电路如下:在这里EN的电压为5V或是0V,在没有看仿真结果以前我想当然的认为,结果应该是EN=0V,Vout=oV;EN=5V,Vout=5V;可是 ...
-
- 如何用万用表测短路、断路、漏电?
- 摘要:短路就是电源未经过负载而直接由导线接通成闭合回路。电力系统在运行中,相与相之间或相与地(或中性线)之间发生非正常连接(即短路)时而流过非常大的电流。正常状态下,相与相之间或相与地之间的电阻是非常大的, ...
-
- 搞清楚MOS管的几种“击穿”?
- 摘要:MOSFET的击穿有哪几种?Source、Drain、Gate场效应管的三极:源级S 漏级D 栅级G(这里不讲栅极GOX击穿了啊,只针对漏极电压击穿)先讲测试条件,都是源栅衬底都是接地,然后扫描漏极电压,直至Drain端电流达到1uA。所以 ...
-
-
- MOSFET和三极管ON状态有什么区别
- 摘要:MOSFET是一种在模拟电路和数字电路中都应用的非常广泛的一种场效晶体管。三极管也成为双极型晶体管,他能够控制电流的的流动,将较小的信号放大成为幅值较高的电信号。MOSFET和三极管都有ON状态,那么在处于ON状态时 ...
-
- 如何避免开关电源设计中PCB电磁干扰
- 摘要:在任何开关电源设计中,PCB板的物理设计都是最后一个环节,如果设计方法不当,PCB可能会辐射过多的电磁干扰,造成电源工作不稳定,以下针对各个步骤中所需注意的事项进行分析:一、从原理图到PCB的设计流程建立元件 ...
-
- 教你计算电容寿命
- 摘要:电容就是我们通常所说的电容器,其作用就是作为容纳电的容器。电容也是使用量比较大元器件之一,经常出现在耦合、滤波、隔直通交等电路设计当中。由于应用面积广泛,所以电容的寿命问题就很有可能决定产品的寿命。本 ...
-
- 解析IGBT的工作原理及作用
- 摘要:本文通过等效电路分析,通俗易懂的讲解IGBT的工作原理和作用,并精简的指出了IGBT的特点。可以说,IGBT是一个非通即断的开关,兼有MOSFET的高输入阻抗和GTR的低导通压降两方面的优点。IGBT(绝缘栅双极型晶体管),是 ...
-
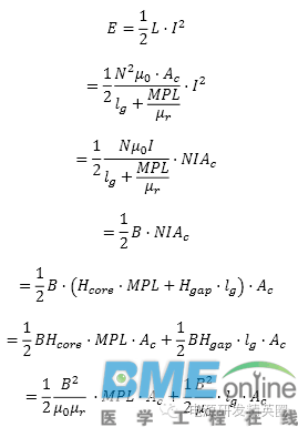
- 电感的能量为什么绝大部分存在气隙中?
- 摘要:请看如下最后一项左侧是磁芯的,右侧是气隙的能量,很明显,只要lgMPL/ur,那么绝大部分能量是在气隙中的。再引申下,如何从物理的直观来理解?磁路和电路时可以类比的,不妨在这里列出来电路 磁路电动势 磁动势电阻 ...
-
- 电源并联:多选项,衡利弊
- 摘要:系统设计人员希望考虑将直流电源并联使用可能有很多原因。其中有些与物料清单和物流问题相关,其他则集中于满足系统电流、性能或可靠性目标。在非设计方面,并联电源的能力也利于某个电源能单独使用,或在跨广泛产品 ...

扫码打开小程序

扫码安装APP